Vad menas? C uppgift
f'(3) derivatans värde. Vad söker man?

Bestäm lutningen av tangenten
Kanske b) och c) är samma sak. (vad är derivata till en funktion ???)
Derivatan finns i tangentens lutning i en viss punkt. Tangentens lutning har jag räknat fram och det är -1
Hej
Om jag tolkar dig rätt så, ja derivatan är samma sak som lutningen i en viss punkt.
Alltså är lutningen i punkten samma sak som .
Visst vet du väl vad f'(3) betyder?
Det är lutning Yngve på den x axeln 3
En tangent till för kan skrivas på formen:
där och . Detta ger:
Svaret ska vara -1
Päivi skrev :Svaret ska vara -1
Ja.
Behöver du fortfarande hjälp med någon av dessa uppgifter?
Jag bara undrar på c uppgiften. Är det bara så att man ska läsa av den lutningen där man har x = 3 alltså den lutningen och den lutningen är -1 eller ska det beräknas på något annat sätt, det undrar jag. Jag har svaret från B uppgiften redan där.
Päivi skrev :Jag bara undrar på c uppgiften. Är det bara så att man ska läsa den lutningen där man har x = 3 alltså den lutningen och den lutningen är -1 eller ska det beräknas på något annat sätt, det undrar jag. Jag har svaret från B uppgiften redan där.
Ja det är bara så.
f'(3) är tangentens lutning då x = 3.
Denna lutning har du redan beräknat i b-uppgiften.
"Utmaningen" här var att inse kopplingen mellan derivatans värde och tangentens lutning.
Det är bäst att jag frågar för mycket än för lite, även om man skulle veta svaret, men man vill vara ändå på sin säkra sida.
Tack för detta er alla.
Den riktigt intressanta delen dyker upp i d-uppgiften.
Det samband som visas där kommer du att använda många många gånger så det är viktigt att du förstår vad det innebär och, så småningom, hur det kan användas.
Om jag förstår på D uppgiften här. Så frågas det var är derivatan 0 någonstans ? Då ska man titta det från x -axeln och den finns i koordinaterna ( 5: 3). Så har jag tolkat det hela, Yngve.
Har jag uppfattat saken rätt eller fel?
Päivi skrev :Om jag förstår på D uppgiften här. Så frågas det var är derivatan 0 någonstans ? Då ska man titta det från x -axeln och den finns i koordinaterna ( 5: 3). Så har jag tolkat det hela, Yngve.
Har jag uppfattat saken rätt eller fel?
Ja det är rätt uppfattat Päivi.
Derivatan är lika med 0 i punkten (5, 3).
Lite omformulerat lyder frågan "För vilket värde på a är f'(a)=0?".
Så vad är då svaret?
Yngve skrev :
Päivi skrev :
Om jag förstår på D uppgiften här. Så frågas det var är derivatan 0 någonstans ? Då ska man titta det från x -axeln och den finns i koordinaterna ( 5: 3). Så har jag tolkat det hela, Yngve.
Har jag uppfattat saken rätt eller fel?
Ja det är rätt uppfattat Päivi.
Derivatan är lika med 0 i punkten (5, 3).
Lite omformulerat lyder frågan "För vilket värde på a är f'(a)=0?".
Så vad är då svaret?
Mitt svar på D uppgiften är
f'(5).=0
kommentera Yngve!
Päivi skrev :Mitt svar på D uppgiften är
f'(5).=0
kommentera Yngve!
Du tänker rätt men du svarar inte på rätt fråga.
De frågar efter vad a har för värde. Ditt svar ska alltså vara vad a har för värde.
Du ska alltså inte svara att f(5) = 0.
Päivi skrev :
Just så Päivi.
Tydligt och bra.
Det är något speciellt med grafen till f(x) just där f'(x) = 0, dvs då x = 5.
Vad är det som skiljer punkten (5, f(5)) från andra punkter på den grafen Päivi?
Jag förstår inte riktigt vad du är ute efter Yngve, men här har vi tangenten lutning och derivatans punkt eftersom den går mot noll.
Vi har där derivatan är noll i punkten.
Jag vet inte, vad du är nu ute efter, Yngve
Päivi skrev :Jag förstår inte riktigt vad du är ute efter Yngve, men här har vi tangenten lutning och derivatans punkt eftersom den går mot noll.
Tänk bort tangenter och derivator för ett ögonblick och titta bara på den röda grafens utseende Päivi.
Vad kan du säga om grafen i just punkten (5, f(5))?
Ja, det ser ut att vara en andragrads funktion, men svårt att säga om det. Vi har minimi punkt, men du frågar inte efter det. Det är en symmetri linje som går där om man vill rita det eftersom vi har ett minimipunkt ( 5:3). Nu är det två punkter ovan för den.
Jag vet inte, vad du tänker på, Yngve!
Jo, det är just minimipunkten som Yngve är ute efter. Vad får dig att tro att det inte är det?
Han skrev som
koordinater (5:5) och den ligger ovanför den. Inte kunde jag tänka vad han vad ute efter. Jag såg att det är minimi punkt, men om han tänkte något annat, svårt att veta.
Har du Magdalena fått kaffe i dig nu?
Päivi skrev :Ja, det ser ut att vara en andragrads funktion, men svårt att säga om det. Vi har minimi punkt, men du frågar inte efter det. Det är en symmetri linje som går där om man vill rita det eftersom vi har ett minimipunkt ( 5:3). Nu är det två punkter ovan för den.
Jag vet inte, vad du tänker på, Yngve!
Ja det var just att det är en minimipunkt som jag var ute efter Päivi.
I denna minimipunkt har derivatan värdet 0.
Rita gärna in en tangent till grafen i denna minimipunkt och se att den blir horisontell, dvs att den har lutningen 0, dvs att derivatan där har värdet 0.
Det kan vara en andragradsfunktion, men det behöver inte vara det. Det skulle kunna vara en tredjegradsfunktion, en rationell funktion, en trigonometrisk funktion eller vilken funktion som helst som har en minimipunkt.
- Det viktiga här är att i grafens minimipunkt är derivatan lika med 0.
----------------
Nu vill jag att du på ett nytt papper på fri hand ritar en del av en graf som visar en maximipunkt. Det spelar ingen roll hur grafen ser ut för övrigt.
Rita in en tangent till grafen i denna maximipunkt.
- Vad har denna tangent för lutning?
- Vad har derivatan för värde i denna punkt?
- Vilken slutsats drar du av det?
Här har du lite grafer som jag beskriver om, Yngve!
Päivi skrev :Här har du lite grafer som jag beskriver om, Yngve!
Ja det var exakt det här jag menade Päivi.
Det betyder att om du vill hitta min-, max- och terrasspunkter till en funktion f(x) så kan du
- Derivera funktionen .
- Lös ekvationen . Det ger dig alla de värden på x för vilka tangenterna är horisontella.
- Då har du fått fram x-koordinaterna för funktionens alla min-, max- och terrasspunkter.
- Du kan då enkelt hitta motsvarande y-koordinater genom att i tur och ordning sätta in dessa x-koordinater i funktionsuttrycket för .

Jag har ringat in det viktiga sambandet ovan.
Päivi skrev :Han skrev som
koordinater (5:5) och den ligger ovanför den. Inte kunde jag tänka vad han vad ute efter.
Nej det gjorde jag inte Päivi.
Läs igen. Jag skrev (5, f(5)).
Vad menar du med den där bilden Päivi? Det ser lite konstigt ut med f(1), f(2),..., f(5) på y-axeln?
Jag uppfattade på annat språk Yngve (5:5)
Först tar man 5 i x axeln och sedan går man lodrät 5 punkter från x axeln uppåt.
(5:f(5))
eller så begrep jag tillslut att han menade y värden.
Förklara du det där.
Ja det verkar som du missförstått något här.
I en graf så bör du inte ha f(x) på y-axeln på det där sättet, det blir ganska lite småkonstigt, i detta fall blir det faktiskt helt oförståeligt att göra det.
Du ska se en funktion f som en relation mellan två tal, när man skriver f(x) så menar man det talet som funktionen f relaterar talet x med. Så när man skriver f(5) så menar man alltså det talet som funktionen f relaterar 5 med, i detta fall så är det talet 3. Därför är f(5) och 3 exakt samma tal, de är lika med varandra.
Därför när man skriver punkten (5, f(5)) så menar man punkten (5, 3) eftersom f(5) = 3. Detta innebär då att du ska gå 5 steg på x-axeln och 3 steg på y-axeln och det är denna punkt som (5, f(5)) syftar på.
Varifrån kommer den andra femman. Skulle det nu inte finnas någon andragrads funktion synligt och skriver sådan beteckning (5: f(5)), talar detta då om att (5,3)? Varifrån kommer den andra 5 i så fall.?
Jag kan förstå att punkten ligger mellan 0-5
Och 5 ska man ta i x axeln. Jag har förstått att f (5) är lodrätt , alltså (5:5)
punkten ligger mellan y axeln 0-5 någonstans. I detta fall på 3.
Hoppas du förstår vad jag menar nu eller annars måste jag rita en bild.
Om det inte hade varit beskrivet hur funktionens graf ser ut så hade vi inte vetat vilken punkt (5, f(5)) syftade på.
Jag tror vi måste försök gå igenom vad en funktion verkligen är och det är väldigt väldigt viktigt att du verkligen är med på detta.
En funktion är som ett samband mellan två tal. Om vi har en funktion f så kan vi exempelvis "fråga" den vilket tal den länkar samman talet 5 med. Sättet vi frågar den det är genom att skriva f(5), detta är alltså beteckningen som betyder: Det tal som f länkar samman talet 5 med.
Exempelvis så kan vi säga att , då säger vi att f länkar samman talet x med talet . Så om vi skriver så är detta talet .
Vi kan också ha helt andra sätt att beskriva en funktion på, säg att vi låter vara det n:te primtalet. Då är eftersom 5 är det 3:e primtalet. Vi kan inte skriva någon formel för men funktionen är ändå ett samband mellan ett positivt heltal och ett primtal. Så om jag skriver då är detta en beteckning för det 7:e primtalet.
Så i denna uppgift så har du ju en given graf över f. Denna graf säger vilket talet f länkar samman med vilket. Så om vi skriver f(5) då syftar vi på det tal som f länkar samman med 5. För att få reda på vilket det är så kollar man på x-axeln vid 5. Sedan kollar man på den punkt i grafen som har denna x-koordinat, y-koordinaten för den punkten är det tal som f länkar samman med 5. Så om vi skriver f(5) så ska du läsa av y-koordinaten för punkten som har x-koordinaten 5.
I detta fall så kan du kolla på den punkt i grafen som har x-koordinaten 5 och se att den punkten har y-koordinaten 3, därför är f(5) = 3. Så när man skriver (5, f(5)) så syftar man därför på punkten (5, 3).
Päivi skrev :Varifrån kommer den andra femman. Skulle det nu inte finnas någon andragrads funktion synligt och skriver sådan beteckning (5: f(5)), talar detta då om att (5,3)? Varifrån kommer den andra 5 i så fall.?
Jag kan förstå att punkten ligger mellan 0-5
Och 5 ska man ta i x axeln. Jag har förstått att f (5) är lodrätt , alltså (5:5)
punkten ligger mellan y axeln 0-5 någonstans. I detta fall på 3.
Hoppas du förstår vad jag menar nu eller annars måste jag rita en bild.
Nej jag förstå inte vad du menar.
När jag skriver om punkten så menar jag helt enkelt den punkt i koordinatsystemet som har x-koordinaten 5 och y-koordinaten f(5).
I detta fallet ser det ut som att så då blir punkten helt enkelt .
-----------------------
Men om grafen såg annorlunda ut så skulle punkten till exrmpel kunna vara eller Det beror ju helt på hur funktionen ser ut.
Då förstår jag det hela Stokastiskt. Nu är det här en andragrads funktion som det ser ut att vara.
Päivi skrev :Då förstår jag det hela Stokastiskt. Nu är det här en andragrads funktion som det ser ut att vara.
Det är väldigt väldigt viktigt att du verkligen förstår det jag skrev. För det kommer göra saker och ting lättare för dig om du verkligen gör det.
Du kan inte säga med säkerhet att det är en andragradsfunktion, man kan kanske gissa att det är det, men du kan inte säga det säkert och det är faktiskt inte speciellt relevant heller i just detta fall.
Päivi skrev :Då förstår jag det hela Stokastiskt. Nu är det här en andragrads funktion som det ser ut att vara.
Det vet vi inte om det är. Det skulle lika gärna kunna vara en tredjegradsfunktion eller kanske en rationell funktion.
Yngve skrev :Päivi skrev :Varifrån kommer den andra femman. Skulle det nu inte finnas någon andragrads funktion synligt och skriver sådan beteckning (5: f(5)), talar detta då om att (5,3)? Varifrån kommer den andra 5 i så fall.?
Jag kan förstå att punkten ligger mellan 0-5
Och 5 ska man ta i x axeln. Jag har förstått att f (5) är lodrätt , alltså (5:5)
punkten ligger mellan y axeln 0-5 någonstans. I detta fall på 3.
Hoppas du förstår vad jag menar nu eller annars måste jag rita en bild.
Nej jag förstå inte vad du menar.
När jag skriver om punkten så menar jag helt enkelt den punkt $$(x,y)$$ i koordinatsystemet som har x-koordinaten 5 och y-koordinaten f(5).
I detta fallet ser det ut som att så då blir punkten helt enkelt .
-----------------------
Men om grafen såg annorlunda ut så skulle punkten till exrmpel kunna vara eller Det beror ju helt på hur funktionen f(x) ser ut.
Det här har jag hela tiden förstått. Sedan blir man totalt förvirrad, när man säger nej. Jag har förstått att den ena är x och den andra y
(x:y) som ska nu menas i detta fall. Så mycket har jag fått lära mig i tidigare kurser. Att det sedan har lite annan beteckning att göra kan jag också förstå när det gäller funktioner.
Päivi skrev :Det här har jag hela tiden förstått. Sedan blir man totalt förvirrad, när man säger nej.
Vilket "nej" menar du?
Använd #Permalänk-knappen för att skapa en länk till den kommentar du menar och klistra sedan in den länken här.
Päivi skrev :Det här har jag hela tiden förstått. Sedan blir man totalt förvirrad, när man säger nej. Jag har förstått att den ena är x och den andra y
(x:y) som ska nu menas i detta fall. Så mycket har jag fått lära mig i tidigare kurser. Att det sedan har lite annan beteckning att göra kan jag också förstå när det gäller funktioner.
Jag är inte helt övertygad om att du verkligen förstått detta, för du har gjort många fel och många förvirrade saker som verkar vara relaterad till detta, och att du tycker att det är konstigt när vi säger nej tyder också på att det är något du inte riktigt förstått. Så det är nog viktigt att verkligen reda ut detta.
Att (x: y) betecknar en punkt och vilken punkt det är tror jag att du förstår. Det är däremot ingen skillnad i notationen när man skriver , notationsmässigt så är det ingen skillnad i detta, är du med på det? är en punkt i planet precis som vilken annan punkt, den har y-koordinaten och x-koordinaten 5.
Det där förstår jag ändå Stokastisk. I början gör man inte det, men det kommer senare, när man har hållit på med det ett tag. Jag ser på gång på gång liknande saker.
Okej, då får du en kontrollfråga av mig:
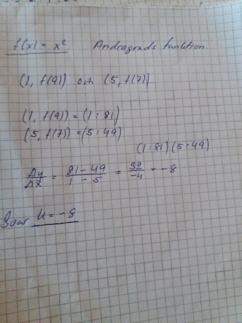
Beräkna k-värdet för den linje som går genom punkterna (1, f(9)) och (5, f(7)) där f ges av den graf du postat i början.
Jag ska fixa mat nu, men sedan är jag igen tillbaka. Vi hörs om en stund.
Tips till Päivi: Skriv uttryckligen ner de båda punkternas koordinater innan du börjar räkna.
Nej det är inte helt rätt, det gäller inte att , utan du ska avläsa f-värdena från grafen som du postade i början av denna tråd.
Det är helt rätt beräknat för f(x)=x^2, fast Stokastisk sade ju en annan funktion.
, Stokastisk skrev :Okej, då får du en kontrollfråga av mig:
Beräkna k-värdet för den linje som går genom punkterna (1, f(9)) och (5, f(7)) där f ges av den graf du postat i början.
Nej, nu förstår jag inte, vad du menar
Bubo skrev :
Det är helt rätt beräknat för f(x)=x^2, fast Stokastisk sade ju en annan funktion.
Det är inte att undra på, vilken funktion det handlar om. Jag trodde att detta handlade om andra grads funktion.
Päivi skrev :
Det är inte att undra på, vilken funktion det handlar om. Jag trodde att detta handlade om andra grads funktion.
Varför trodde du det?
Stokastisk skrev ju uttryckligen att du skulle använda grafen från uppgiftens början:
Okej, då får du en kontrollfråga av mig:
Beräkna k-värdet för den linje som går genom punkterna (1, f(9)) och (5, f(7)) där f ges av den graf du postat i början.
Nu förstår jag inte mer
Päivi skrev :Nu förstår jag inte mer
Är du med på att den röda grafen visar ett samband mellan x-värden och y-värden?
Är du med på att detta samband kan skrivas y = f(x)?
Om du är ned på det så kanske du även är med på att det går att få fram ett ungefärligt värde på t.ex f(7) med hjälp av grafen?

Ja, det är jag, Yngve!
Jag har haft ibland svårt kunna läsa, vad du skriver. Internet har fungerat lite dåligt här. Har fått starta om par omgångar redan.
Jag svarar på f (7)= 1
Har svårt se, vad det står, när jag inte kan bläddra neråt
Päivi skrev :Ja, det är jag, Yngve!
...
Jag svarar på f (7)= 1
Nej, antingen blandar du ihop det eller så har du inte alls förstått detta med funktioner och grafer.
Du kan med hjälp av grafen se att f(7) = 4 (eller åtminstone till synes lika med 4)
Funktionsvärdet av f(x) då argumentet x är 1 får du fram på följande sätt (se illustration i min nästa kommentar):
- Utgå från x-axeln vid x = 7.
- Förflytta dig vertikalt uppåt (eller nedåt)
- Stanna där du stöter på den röda grafen.
- Den höjd på vilken du stöter på grafen är y-värdet och alltså då även värdet av f(7).
-----------------------------------------------------------------------------
Nu har jag tre frågor till dig som jag vill att du svarar på Päivi:
- Hängde du med på denna förklaring?
- Inser du nu att f(7) = 4?
- Kan du på samma sätt ta reda på vad f(9) är?
Svaret är 4.
Det andra svaret är 7.
Ja, jag förstår.
Det är riktigt rörigt det här. Ena gången så och den andra gången så. Inget liknar varandra.
Ena gången ska det bestämmas f (3)
Här är en bild som visar principen. Jag har svårt att vara mer tydlig än så här.

Yngve. Jag svarade ju 4 till dig.
f(7)= 4
f(9)= 7
Päivi skrev :Yngve. Jag svarade ju 4 till dig.
f(7)= 4
f(9)= 7
Jag såg inte att du svarade det nu, jag höll på att rita bilden.
Men tidigare skrev du att f(7) = 1, vilket ju är helt uppåt väggarna.
---------------------------------------------
Kan du då besvara följande kontrollfråga som Stokastisk ställde tidigare?
Stokastisk skrev:
Okej, då får du en kontrollfråga av mig:
Beräkna k-värdet för den linje som går genom punkterna (1, f(9)) och (5, f(7)) där f ges av den graf du postat i början.
Ska det vara rät linje eller andra gradare?
Päivi skrev :Ska det vara rät linje eller andra gradare?
Jag förstår inte din fråga. Jag förstår inte vad du menar med "det" (fetmarkerat i citatet ovan).
------------------------- Jag förklarar nu uppgiften väldigt tydligt: ---------------------
Du ska ta reda på k-värdet (dvs riktningskoefficienten) för den linje (dvs sekant) som går genom punkterna med koordinaterna (1, f(9)) och (5, f(7)), där f ges av den röda grafen i denna tråds första bild.
Vilka delar av detta är det du inte förstår?
Svaret är då att k - värdet är 1,5
Päivi skrev :Svaret är då att k - värdet är 1,5
Nej det stämmer inte. Visa dina uträkningar så vi ser om du bara har gjort slarv-/räknefel eller om det är något du har missuppfattat.
Och kom ihåg det tips jag gav tidigare:
Yngve skrev :
Tips till Päivi: Skriv uttryckligen ner de båda punkternas koordinater innan du börjar räkna.
Päivi skrev :
Nej det här är helt fel Päivi. Alla fyra koordinater i dina två punkter är fel.
---------------------------------------
Läs noga nu: Den ena punkten är (1, f(9)).
-----------------------------------------
Nu ställer jag några kontrollfrågor till dig (med risk för att det blir vad du brukar kalla "gissningstävlan")
- Vilken x-koordinat har punkten (1, f(9))?
- Vilken y-koordinat har punkten (1, f(9))?
Märker du inte av hur rörigt det här, Yngve?Ena gången pratar msn om andra siffror. Helt plötsligt ändrar man igen till annat. Hur vill du det ha Yngve?
1) 7
2)81
Yngve skrev :Här är en bild som visar principen. Jag har svårt att vara mer tydlig än så här.
Här pratar vi helt annat.
Yngve skrev :Päivi skrev :Yngve. Jag svarade ju 4 till dig.
f(7)= 4
f(9)= 7
Jag såg inte att du svarade det nu, jag höll på att rita bilden.
Men tidigare skrev du att f(7) = 1, vilket ju är helt uppåt väggarna.
---------------------------------------------
Kan du då besvara följande kontrollfråga som Stokastisk ställde tidigare?
Stokastisk skrev:
Okej, då får du en kontrollfråga av mig:
Beräkna k-värdet för den linje som går genom punkterna (1, f(9)) och (5, f(7)) där f ges av den graf du postat i början.
Funktionen är alltså funktionen i den första bilden. Kommer du ihåg den bilden? Så här ser den ut:

Funktionen f(x) i den bilden är den här funktionen:

Päivi skrev :Märker du inte av hur rörigt det här, Yngve?Ena gången pratar msn om andra siffror. Helt plötsligt ändrar man igen till annat. Hur vill du det ha Yngve?
1) 7
2)81
Jag håller med dig om att det är rörigt, men nej, vi pratar inte om andra siffror.
Det vi fortfarande håller på med är att svara på kontrollfrågan som Stokastisk ursprungligen skrev.
-------------------
Men du verkar inte alls förstå vad jag skriver eller också svarar du på något helt annat än vad jag frågar om, så nu backar vi ett steg till och dubbelkollar att du verkligen förstår vad jag frågar om:
- Håller du med om att punkten (a, b) har x-koordinaten a och y-koordinaten b?
Hur vill du ha Det??
Päivi skrev :Hur vill du ha Det??
Jag vill att du löser följande uppgift. Det är samma uppgift som vi har hållit på med har vi hållit på med de senaste 6 timmarna.
------------------------- Jag förklarar nu uppgiften väldigt tydligt: ---------------------
Du ska ta reda på k-värdet (dvs riktningskoefficienten) för den linje (dvs sekant) som går genom punkterna med koordinaterna (1, f(9)) och (5, f(7)), där f ges av den röda grafen i denna tråds första bild.
-----------------------------
Men eftersom du gav ett helt tokigt svar på vilka koordinater punkterna (1, f(9)) och (5, f(7)) har så kände jag mig tvungen att kontrollera att du verkligen förstår vad som är x- och vad som är y-koordinaten i en punkt (a, b). För det verkar nämligen inte så.
Kolla nu Yngve koordinaterna att vi pratar om samma sak.
Päivi skrev :
Kolla nu Yngve koordinaterna att vi pratar om samma sak.
Bra. Nu är x-koordinaterna i alla fall rätt.
Men y-koordinaterna är fel.
Svara nu på dessa frågor:
- Vilken y-koordinat har punkten (1, f(9))?
- Vilken y-koordinat har punkten (5, f(7))?
Tips: Använd den röda grafen för att hitta värdet på f(9) respektive f(7).
Päivi skrev :
Varför visar du detta? Detta har ju ingenting med uppgiften att göra.
Svara nu istället på mina frågor:
- Vilken y-koordinat har punkten (1, f(9))?
- Vilken y-koordinat har punkten (5, f(7))?
Tips: Använd den röda grafen för att hitta värdet på f(9) respektive f(7).
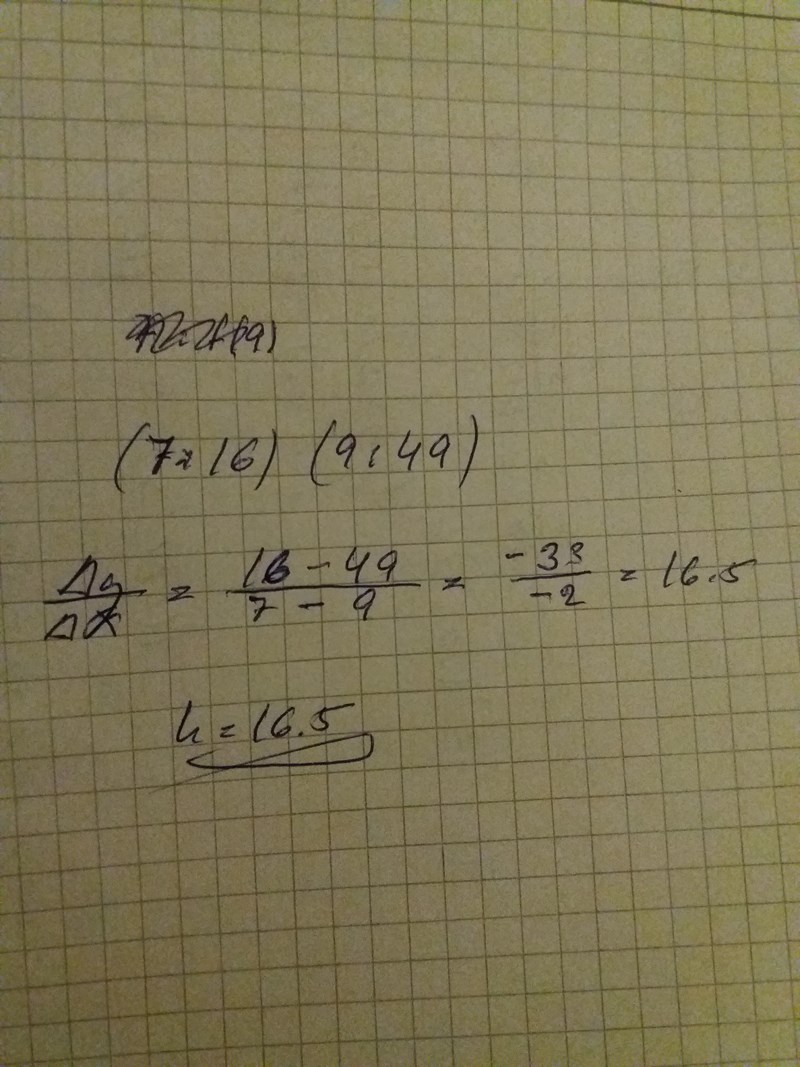
f(9)= 7
f(7)= 4
menar nu helt plötsligt x = 1 y=7
x = 5 y =3
K= -10
Den ena punkten du har markerat i figuren ovan är korrekt, den andra är det inte, se grön och röd markering:

Päivi skrev :
f(9)= 7
Ja det stämmer. Punkten (1, f(9)) har alltså x-koordinaten 1 och y-koordinaten 7.
Päivi skrev :
f(7)= 4
Ja det stämmer. Punkten (5, f(7)) har alltså x-koordinaten 5 och y-koordinaten 4.
Päivi skrev :
menar nu helt plötsligt x = 1 y=7
x = 5 y =3
Nej det stämmer inte. Varifrån fick du y = 3?
Päivi skrev :
K= -10
Nej det stämmer inte. Visa hur du ställer upp och beräknar differenskvoten.
Yngve, har du något fel i synen Nu? Titta på x koordinaten 5, vad har den för y koordinat. 4 är fel.
Päivi skrev :Yngve, har du något fel i synen Nu? Titta på x koordinaten 5, vad har den för y koordinat. 4 är fel.
Nej Päivi det är inget fel på min syn.
Punkten som efterfrågas är inte (5, f(5)) utan det är (5, f(7)).
Det finns inget som säger att de punkter Stokastisk bad dig att ta fram ligger på den röda kurvan.
Däremot ska du hämta punkternas y-koordinater från den röda kurvan, vilket du har gjort på ett korrekt sätt.
Är det då 4?
Päivi skrev :Är det då 4?
Ja. Du har ju skrivit det själv:
Päivi skrev :
f(7)= 4
Yngve skrev:
Ja det stämmer. Punkten (5, f(7)) har alltså x-koordinaten 5 och y-koordinaten 4.
K-värde 5.5
Päivi skrev :K-värde 5.5
Nej det stämmer inte. Nu förstår jag inte riktigt vad du håller på med Päivi. Hur räknar du egentligen?
Visa vilka punkter du använder och hur du ställer upp din differenskvot.
Jag somnade igår kväll. Det är vanligt att sådant händer, när jag sysslar med matten.
Ja nu är det rätt Päivi.
Men du har inte gjort någon avrundning, så det ska vara ett likhetstecken här.
-3/4 är exakt lika med -0,75, dvs -3/4 = -0,75.








