på 17 jag tänkte att det skulle bli 60+60 N
men det är fel
Det är lätt att lura sig själv här, men om man tänker sig att man ersätter en av vikterna med en vägg så får den väggen bära exakt samma belastning som den ena av vikterna får ta för att hålla balansen. Det tar ett tag att se det, men det bästa är att göra ett eget experiment eller om man har möjlighet att delta i en laboration.
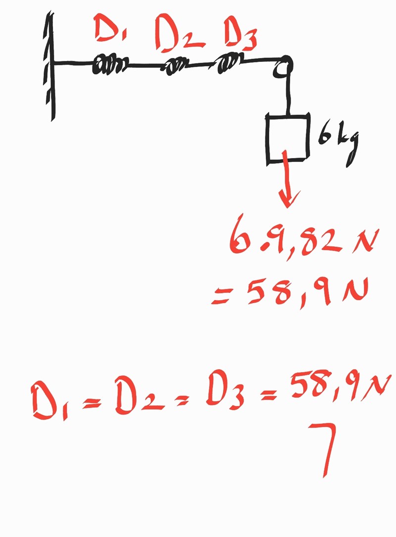
Därför är kraften som drar i dynamometrarna 6*9,82 N och att alla tre visar lika mycket verkar du att vara med på?
ConnyN skrev:Det är lätt att lura sig själv här, men om man tänker sig att man ersätter en av vikterna med en vägg så får den väggen bära exakt samma belastning som den ena av vikterna får ta för att hålla balansen. Det tar ett tag att se det, men det bästa är att göra ett eget experiment eller om man har möjlighet att delta i en laboration.
Därför är kraften som drar i dynamometrarna 6*9,82 N och att alla tre visar lika mycket verkar du att vara med på?
Jag håller med ConnyN. Nedan följer en skiss:

