Väldigt (!) svårt för logaritmer
Hej,
Jag har läst runt på flera olika källor och även sett videos för att förstå mig på logaritmer. Står mest och stampar då jag fortfarande har svårt att greppa det.
Undrar om någon kan hjälpa mig att, så pedagogiskt som det bara går, förklara detta för mig?

Vi börjar med denna lag. Jag tolkar lg(a) som "det vi ska höja upp 10 med för att bli a).

Detta får jag inte ihop med ovan. För det vi "ska höja upp 10 med för att få 5" är ju inte 5.
Jag hänger inte heller med i nedan steg.






Väldigt tacksam om någon kan förklara detta för mig så enkelt som det bara går, känner mig lite uppgiven.
Per definition är det tal som du ska höja a med för att få b. Då innebär det att: .
Detta medför ju då såklart även att . Tänk så här: är det tal du ska höja 10 med för att få 5. Det ser du ju även i din likhet.
Ett sätt att tänka är så här:
10 upphöjt till "något" blir 5. Vilket tal är "något"?
Man kan testa med miniräknaren:
100,5 ≈ 3,16
100,6 ≈ 3,98
100,7 ≈ 5,01
Alltså måste något vara nära 0,7, men lite mindre. Vi testar lite till:
100,69 ≈ 4,90
OK, då ser vi att något måste vara närmre 0,70 än 0,69. Alltså kan vi säga att nära 0,70 är det tal vi ska upphöja 10 till för att det ska bli 5.
Alltså är lg(5) ≈ 0,70
10lg(5) = 5
100,70 ≈ 5
Blev det klarare nu?
tror jag börjar förstå mer. Men hur vet man vilken bas logaritmen är skriven på? tex lg(5), hur vet man att det är just 10 man ska utgå från?
naytte skrev:Per definition är det tal som du ska höja a med för att få b. Då innebär det att: .
Detta medför ju då såklart även att . Tänk så här: är det tal du ska höja 10 med för att få 5. Det ser du ju även i din likhet.
vad betyder det när a:et är nedsänkt?
loga(b) betyder det tal som a skall höjas upp med för att få b.
log5(125) = 3 eftersom 53 = 125, t.ex.
Tack.
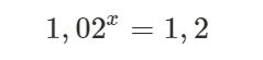
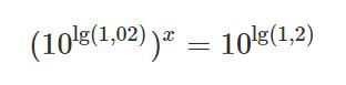
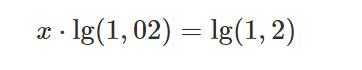
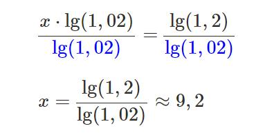
Här är ett till exempel:

På det tredje ledet uppifrån så gör man log på båda sidor. Jag tolkar vänster led som "för att få 100 så ska 10 upphöjas med x"
Höger led tolkar jag som "vad ska 10 upphöjas med för att få 100".
Och då får man svaret. Men hur kan man få det? Känns lite som magi, varför får jag fram svaret på logaritmen i höger led bara för att jag logaritmerar båda?
LumpyFishSwimming skrev:Tack.
Här är ett till exempel:
På det tredje ledet uppifrån så gör man log på båda sidor. Jag tolkar vänster led som "för att få 100 så ska 10 upphöjas med x"
Höger led tolkar jag som "vad ska 10 upphöjas med för att få 100".
Och då får man svaret. Men hur kan man få det? Känns lite som magi, varför får jag fram svaret på logaritmen i höger led bara för att jag logaritmerar båda?
Om det står 10x = 100 kan man tänka så här:
VL: Vad ska man upphöja 10 till för att få 10x? Jo, man ska förstås upphöja till x, det står ju redan!
HL: Vad ska man upphöja 10 till för att få 100? Jo, 2, för 10*10 = 2
Alltså är x = 2
Men om det hade stått 10x = 200 hade det blivit svårare. Då kan man inte bara gissa vad man ska höja upp 10 till för att få 200. Då får man antingen pröva sig fram, eller använda logaritmer, som är till för att svara på just den frågan!
