Värde på derivata med känt värde i annan punkt
Tja, går kursen inledande matematik första året och fastnat på ett problem

Hej och välkommen på pluggakuten!
Var det uppgiften som skrev "med känt värde i annan punkt", eller är det din tolkning?
Ne, de är egentligen jag som inte riktigt visste vad jag skulle kalla den
Du kanske vilseleder dig själv. Har du kollat om det är en annan punkt?
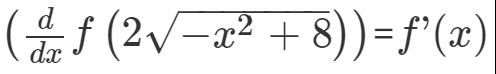
Har du beräknat ?
Vad menar du med beräkna, med vilket värde på x?
Jag förstår de som att =
är jag helt ute och cyklar då?
Med x=2, som det står i uppgiften:

ja då får jag värdet 2*sqrt(12) men förstår inte riktigt hur de hjälper mig
2*sqrt(12) skulle inte hjälpa dig, men värdet är 2*sqrt(4) = 4.
Annars skulle det vara omöjligt att beräkna derivatan.
kan vara att jag missar något helt fundamentalt här och tänker helt fel men
om
och![]()
då går de inte ihop för mig att
Varför tror du att ?