3 svar
93 visningar
naytte behöver inte mer hjälp
naytte Online 7763 – Moderator
Postad: 9 jan 2023 12:09

Varför blir gränsvärdet e och inte 1?

Jag stötte på följande gränsvärde häromdagen:

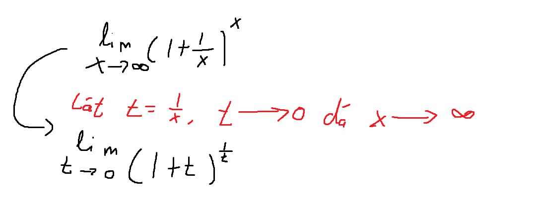
limx(1+1x)x

Min tankegång var att termen 1x0 när x, och att hela uttrycket då borde gå mot 1=1. Men tydligen går uttrycket mot e. Varför?

Laguna Online 31989
Postad: 9 jan 2023 12:12

11^\infty är ett sånt där uttryck som är odefinierat om man inte vet precis hur sakerna går mot sina gränsvärden.

naytte Online 7763 – Moderator
Postad: 9 jan 2023 16:06

Det slog mig just att det gränsvärdet är väldigt likt definitionen för e... Det är nog därför:

limh0(1+h)1/h=limx(1+1x)x=e

Fermatrix 7621 – Fd. Medlem
Postad: 9 jan 2023 16:35 Redigerad: 9 jan 2023 16:35

Nu är du något på spåret! 

Det är skrivet i paint som vanligt, så det är lite fult skrivet.

Svara
Close