Varför fungerar inte min substitution för integralen?
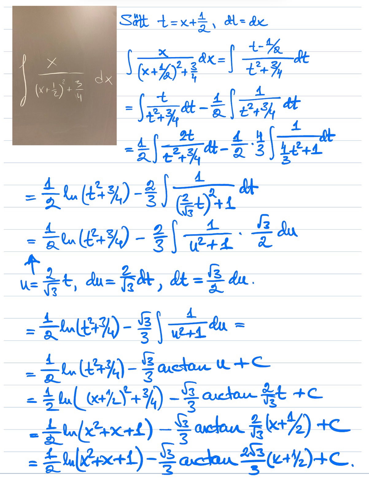
I detta steg satte jag direkt t=x+1/2 och sedan bryter ut 3/4 men det blev fel, varför? I boken bryter de ut 3/4 först, får en krångligare substitution men rätt svar.
Om detta skulle bero på att jag räknat fel kan jag skicka mina uträkningar.
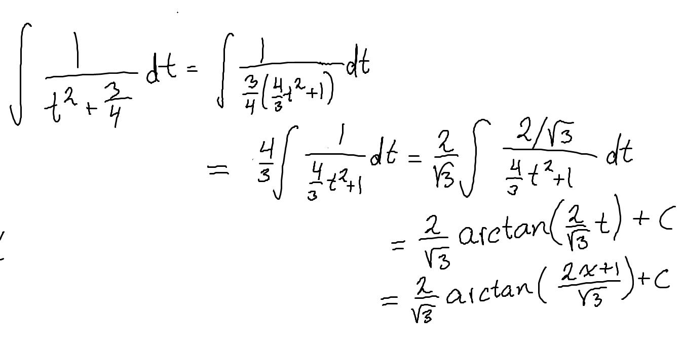
Hur menar du att du bryter ut 3/4? Jag antar att du skriver om din integral så här:
Men vad händer sen?
naytte skrev:Hur menar du att du bryter ut 3/4? Jag antar att du skriver om din integral så här:
Men vad händer sen?
Sen delar jag upp den i två bråk.
I det högra försöker jag göra något2 + 1 i nämnaren för att det ska kunna bli arctan.
Tillägg: 5 okt 2024 20:25
Mena att jag bryter ut 3/4 ur nämnaren vilket blir som att bryta ut 4/3 totalt.
Jaha nu förstår jag vad du menar.
Jo det borde fungera. Säker på att det inte bara har skett ett räknefel eller teckenfel någonstans? Skicka en bild så kan vi kika. Detta får jag när jag försöker:

Tydligen inga teckenfel, visste bara inte hur man räknade. Hade ej koll på hur man kompenserade för inre derivatan med arctan.
Hur tänker du när du gör det steget? Vet du att täljaren behöver vara det framför t2 i kvadrat eller tänker du alltid på derivatan och anpassar dig därefter? Eller är det bara uppenbart för när jag tänker på det mer så blir det ju alltihop uppenbart?😭
Man vet att
Utifrån det kan man kedjeregla baklänges. Man ser att .
Men för det mesta går jag på känsla. Det kändes helt enkelt rätt att det var så man skulle göra och så råkade det vara så. När man har löst tillräckligt många integraler får man en sådan känsla.
Formeln med ett k har man inte sett men borde kunnat räkna ut.
Påbörjade mitt integralgrind idag inför tentan. De är riktigt kluriga där så man behöver en sådan känsla du pratar om och har.
Fattar! Tveka inte att ställa frågor här, är nämligen lite av en integralkonnässör! :D
Dags att integralmaxa!
Hoppas du är villig att dela med dig av dina bästa tips. De kommer att behövas!
Verkligen!
MrPotatohead skrev:
I detta steg satte jag direkt t=x+1/2 och sedan bryter ut 3/4 men det blev fel, varför? I boken bryter de ut 3/4 först, får en krångligare substitution men rätt svar.
Om detta skulle bero på att jag räknat fel kan jag skicka mina uträkningar.

Japp, det var så jag också fick till det tillslut. Ny IPad?
Här är btw hela uppgiften om någon är integralsugen:
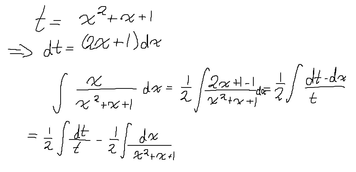
En bättre (lättare) substitution här skulle nog vara :

Och den andra integralen med variabeln löses enligt diskussion ovan.
MrPotatohead skrev:Här är btw hela uppgiften om någon är integralsugen:
Lite stökig men fullt möjlig. Tar lite tid dock.
Trinity2 skrev:MrPotatohead skrev:Här är btw hela uppgiften om någon är integralsugen:
Lite stökig men fullt möjlig. Tar lite tid dock.
Ja, jag har redan gjort den. Ovan var slutklämmen jag inte fick ihop. Skulle inte rekommendera att göra den, inte så rolig.
MrPotatohead skrev:Japp, det var så jag också fick till det tillslut. Ny IPad?
Har du 'griffeltavla' hemma? Coolt! Det är sällsynt i dagens tråkiga Whiteboard-värld! Jag minns mina dagar vid tavlan kritvit om kläder, händer och näsa - som en colombiansk drogbaron… Härliga tider. "Nisse stannar kvar och suddar tavlan!" :)
Gamla iPad har tjänat ut efter 10 års trogen tjänst. Vi får se hur länge Apple anser att den nya skall tjäna mig...
Trinity2 skrev:MrPotatohead skrev:Japp, det var så jag också fick till det tillslut. Ny IPad?
Har du 'griffeltavla' hemma? Coolt! Det är sällsynt i dagens tråkiga Whiteboard-värld! Jag minns mina dagar vid tavlan kritvit om kläder, händer och näsa - som en colombiansk drogbaron… Härliga tider. "Nisse stannar kvar och suddar tavlan!" :)
Gamla iPad har tjänat ut efter 10 års trogen tjänst. Vi får se hur länge Apple anser att den nya skall tjäna mig...
Nope, önskar dock. Var i en sal på Campus och körde några uppgifter på tavlan. Bättre känsla men behöver verkligen träna. Föreläsarna är helt sjuka med krita.
Påminnelse till mig själv att skriva något smart här efter dagens kemiföreläsning.
Påminnelse.
Så, nu sitter jag hemma med en god kaffe :D
Det jag ville visa var hur man kunde härleda derivatan av . Det är inte svårt alls. Vi kan göra så här:
Låt . Då kommer . Då börjar vi helt enkelt derivera:
Här uttnyttjar vi inversa funktionssatsen för att vända på derivatabråket. Man måste naturligtvis se till att villkoren för att tillämpa satsen är uppfyllda, men det är de typ alltid när funktionerna är så fina som de trigonometriska funktionerna. Denna strategi är sjukt användbar när man vill härleda derivator till inversfunktioner. Ett exempel du kan försöka lösa (om du vill):
Härled derivatan till
Japp, dessa är jag med på. Det så jag gör när jag inte minns derivatan för någon av arcusfunktionerna. Jag hade bara missat k:et i detta fall.