varför räknar de med varm luft som mg?

när man ska räkna ut mg så tar man ju ballongens massa* 9,82 och jag tänkte man sen också skulle addera den kalla luftens massa * 9,82. Men de räknar istället med den varma luften? varför gör de det?
Det är ju den varma som pekar uppåt och för ballongen uppåt och den kalla luften som pekar neråt och gör att ballongen kan röra sig neråt? Så ska man inte räkna med den kalla istället då för den "pekar ner"?
Lyftkraften är lika med tyngden av den undanträngda luften. Den undanträngda luften har densiteten 1,3 kg/m3.
På samma sätt: När du beräknar lyftkraften på en järnklump som är nedsänkt i vatten så räknar du med vattnets densitet, inte järnets densitet.
Yngve skrev:Lyftkraften är lika med tyngden av den undanträngda luften. Den undanträngda luften har densiteten 1,3 kg/m3.
På samma sätt: När du beräknar lyftkraften på en järnklump som är nedsänkt i vatten så räknar du med vattnets densitet, inte järnets densitet.
ja men den varma luften gör väl att den lyfts uppåt? hur har de räknat med den som mg?
De räknar med hela ballongens totala tyngd, det vill säga ballongen plus den varma luften inuti ballongen. Luften i ballongen väger ju också något, eller hur? :)
naturnatur1 skrev:
ja men den varma luften gör väl att den lyfts uppåt?
Ja, om ballongens totala tyngd är mindre än lyftkraften så kommer ballongen att stiga.
hur har de räknat med den som mg?
Om du visar hur de har räknat så kan vi hjälpa dig att förklara deras lösning.
Det som finns är ballongen och varm luft.
Det som annars hade funnits på den platsen är kall luft.
Yngve skrev:naturnatur1 skrev:ja men den varma luften gör väl att den lyfts uppåt?
Ja, om ballongens totala tyngd är mindre än lyftkraften så kommer ballongen att stiga.
hur har de räknat med den som mg?
Om du visar hur de har räknat så kan vi hjälpa dig att förklara deras lösning.

naytte skrev:De räknar med hela ballongens totala tyngd, det vill säga ballongen plus den varma luften inuti ballongen. Luften i ballongen väger ju också något, eller hur? :)
aha det är alltså luften i ballongens tyngd? Men är inte fortfarande kraften riktad uppåt? (dvs bör räknas ihop med lyftkraften?) för den får ballongen att stiga?
Lyftkraften är riktad uppåt, jo. Men när de räknar ut tyngden på ballongen så räknar de med varmluften inuti (den väger ju också någonting!). Sedan räknar de ut en lyftkraft som är lika stor som den undanträngda luftens (den kalla) tyngd:
Tillägg: 28 dec 2022 16:10
Minustecknet är där då jag räknar med g som en vektor riktad nedåt (vilket man kan ha sina åsikter om).
naturnatur1 skrev:
aha det är alltså luften i ballongens tyngd? Men är inte fortfarande kraften riktad uppåt? (dvs bör räknas ihop med lyftkraften?) för den får ballongen att stiga?
Du blandar ihop det lite grann.
Jag tror att det blir enklare om vi tar en sak i taget.
Ballongen påverkas av två krafter:
- Tyngdkraften som vill dra ballongen ner mot marken. Den är lika med Fmg = m•g, där m är massan av hela ekipaget, dvs ballongkorgen inklusive eventuella passagerare, ballongduken och den varma luft som ballongen innesluter. Denna kraft beror på densiteten hos den inneslutna luften.
- Lyftkraften som vill lyfta ballongen uppåt. Den är enligt Archimedes princip lika med tyngden av den undanträngda (kalla) luften. Den är alltså inte beroende av vilken densitet luften inuti ballongen har.
Är du med på detta?
Om inte - tänk dig istället situationen att vi sänker ner en metallklump i vatten.
Vattnet kommer då att påverka metallklumpen med en lyftkraft.
Denna lyftkraft beror endast på volymen av det undanträngda vattnet, vartnets densitet och tyngdaccelerationen g.
Lyftkraften är alltså helt oberoende av vilken densitet metallklumpen har.
På samma sätt är lyftkraften på ballongen helt oberoende av vilken densitet den inneslutna luften har.
tack så mycket! det blev klarare nu. uppskattar er hjälp!
tillbaka till denna frågan...
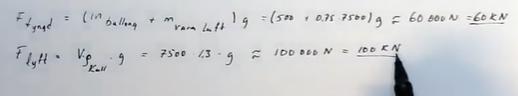
eftersom de är ute efter lyftkraften, är inte det 40 KN då?
eftersom mg = 60 KN
och lyftkraften = 100 KN (som de skrivit som svar)
är inte lyftkraften egentligen 100-60 = 40 KN ?
eller nu när jag tänker efter är ju den egentliga lyftkraften 100 KN men pga tyngden (mg) så påverkas den, men vad symboliserar 40 KN? (resulterande kraft?)
Lyftkraft - tyngdkraft = Uppåtriktad resulterande kraft.