Varför spelar det någon roll hur jag väljer min kastvinkel?
Uppgiften lyder:
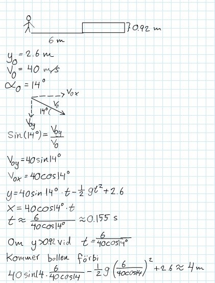
En tennisspelare står 6.0 m från nätet. Han slår till en boll från 2.6 m höjd med en hastighet på 40 m/s och med en vinkel på 14° riktad snett nedåt. Nätets höjd är 0.92 m. Kommer bollen över nätet?
Jag ritade upp hastighetsvektorn v0 och delade upp den i sina komposanter:

Enligt min bild kan man då uttrycka komposanterna som:
och .
När jag räknar på detta sätt får jag att bollen ska ligga ca. 4 m över marken när den korsar nätet, vilket såklart är helt orimligt. Anledningen till att jag får fram detta felaktiga svar är att jag räknar med att vinkeln är 14°. Enligt facit ska man räkna med att den är -14°. Men jag förstår inte vad det spelar för roll eller hur man ska veta att man ska räkna med en negativ vinkel när man räknar ut komposanternas storlek?
Nej du behöver inte anta att vinkeln är negativ så länge som du har rörelsen klar för dig. Din figur är helt riktig och du vet att nollpunkten 2.6 m över marken och 6 m (horisontellt avstånd) från nätet. Med hjälp av det kan du räkna ut hur lång tid bollen behöver för att färdas 6 m och med den tiden och den vertikala komposanten kan du räkna ut du mycket bollen sjuknker från 2.6 m och därmed avgöra om bollen är högre än 0.92 m när den kommer fram. Eg bör man ta hänsyn till gravitationen också men om du räknar på det så gissar jag att den är försumbar i sammanhanget.
Okej. Det var i princip så jag gjorde men någonstans kanske det blev något teckenfel. Så här gjorde jag:

Tiden jag räknade ut var samma som facit och uppställningen också men skillnaden var att de räknade med vinkeln -14 grader och alltså fick ett negativt värde på sin istället för ett positivt.
Felet du gör är att du, i din ekv för y, har samma tecken på v0y som på 2.6 m . 2.6 m är en vektor riktad uppåt men v0y är riktad nedåt. v0y bör väl rimligen ha samma tecken som gravitationskomponenten eller hur?
Hur menar du att det skulle vara en vektor? Det är väl bara ett avstånd?
det är ett avstånd och en riktning (rakt uppåt från marken som är 0-nivån) dvs en vektor.
Alla höjder du räknar är ju i vertikalled. Det tänker vi kanske inte på, vi tar det för givet men om vi inte skulle anta vertikala höjder så har vi inget att hålla oss till ( och jag skulle kunna vara t ex 2.40 lång)
Jag rekommenderar starkt att du alltid tar som vana att rita in ett koordinatsystem när du löser uppgifter som har med position och rörelse att göra.
Genom att göra det definierar du vilka riktningar du väljer att vara positiva, vilket är helt nödvändigt i sammanhanget.
Exempel:

Här lägger vi origo vid marknivå rakt under bollens startposition.
Positiv x-riktning är åt höger mot nätet och positiv y-riktning är uppåt, bort från marken.
Det hjälper dig att få rätt tecken på ingående storheter när du sätter upp rörelseekvationerna.
Baserat på detta ser du att i ekvationen y(t) = y0+v0yt+ayt2/2 så är
- y0 = 2,6 m
- v0y = -40•cos(14°) m/s
- ay -9,82 m/s2
- y(t) = 0,92 m
Dvs
y(t) 2,6-40•cos(14°)•t-9,82•t2/2
========
Du hade lika gärna kunnat lägga in koordinatsystemet så att positiv y-riktning blev neråt. Då skulle både v0y och ay ha blivit positiva istället för negativa som ovan.
Felet du gjorde var att du lät v0y vara positiv men ay vara negativ, vilket i praktiken innebär att positiv y-riktning är uppåt ochvatt tennisspelare slår bollen snett uppåt istället för snett neråt. Där är förklaringen till varför bollen går så långt över nät i din uträkning.
Tillägg: 10 sep 2023 15:02
Jag skrev helt tokigt här ovan.
Det ska vara v0y = -40•sin(14°) m/s
Ja, okej. Så det jag beräknade när jag tog 40sin14° var egentligen storleken på Voy, men riktningen måste jag lägga till i efterhand då?
naytte skrev:Ja, okej. Så det jag beräknade när jag tog 40sin14° var egentligen storleken på Voy, men riktningen måste jag lägga till i efterhand då?
Ja, det stämmer.
Alternativt att du beräknar sin(-14°) eftersom riktningen då är "inbyggd" i vinkeln.