2
svar
64
visningar
naytte behöver inte mer hjälp
Varför stämmer inte denna förenkling?

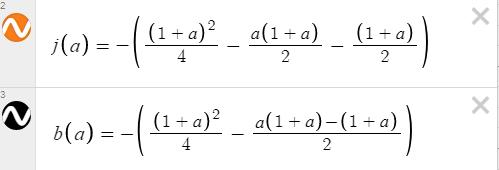
Var någonstans i denna förenkling av bråken till höger sker felet? Av någon anledning är dessa uttryck inte samma...
Det skall vara ett + mellan de båda parenteserna i den högra termen.
Yes, insåg det! Tack.