2
svar
114
visningar
Micimacko behöver inte mer hjälp
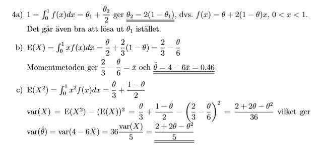
Varians av skattning
Sitter med den här. Jag har löst a och b, men förstår inte hela c. Vad kommer 4-6x ifrån? Och vad är det egentligen som frågas efter?


Momentmetoden sätter likhet mellan populationsmedelvärdet och stickprovsmedelvärdet , vilket resulterar i estimatorn
Skattningens varians blir därför lika med
Stickprovsmedelvärdets varians är välkänd att vara lika med kvoten
där = stickprovsstorleken.
Populationsvariansen beräknades till
vilket ger den sökta variansen
Tack!