31 svar
516 visningar
Päivi 5547 – Avstängd
Postad: 28 dec 2017 15:57

Världens folkmängd

Albiki 5096 – Fd. Medlem
Postad: 28 dec 2017 17:38

Hej!

Deluppgift a. Funktionsvärdet y(50) y(50) är lika med folkmängden år 2000 (50 år efter 1950).

Derivatans funktionsvärde y'(50) y'(50) talar om för dig hur snabbt folkmängden förändras år 2000.

Deluppgift b.

Modell A:

  • Folkmängden är y(50)=2690·1.016450=6067 y(50) = 2690\cdot 1.0164^{50} = 6067 personer.
  • Folkmängden ökar med hastigheten y'(50)=2690·ln1.0164·1.016450=99 y'(50) = 2690 \cdot \ln 1.0164 \cdot 1.0164^{50} = 99 personer per år.

Albiki

Päivi 5547 – Avstängd
Postad: 28 dec 2017 17:55

Tack Albiki!

Jag ska fortsätta med B uppgiften här. 

Affe Jkpg 6630
Postad: 28 dec 2017 17:55 Redigerad: 28 dec 2017 17:57
Albiki skrev :

Hej!

Deluppgift a. Funktionsvärdet y(50) y(50) är lika med folkmängden år 2000 (50 år efter 1950).

Derivatans funktionsvärde y'(50) y'(50) talar om för dig hur snabbt folkmängden förändras år 2000.

Deluppgift b.

Modell A:

  • Folkmängden är y(50)=2690·1.016450=6067 y(50) = 2690\cdot 1.0164^{50} = 6067 personer.
  • Folkmängden ökar med hastigheten y'(50)=2690·ln1.0164·1.016450=99 y'(50) = 2690 \cdot \ln 1.0164 \cdot 1.0164^{50} = 99 personer per år.

Albiki

...miljoner personer.... :-) ...åsså tre värdesiffror...

Bubo 8209
Postad: 28 dec 2017 20:58 Redigerad: 28 dec 2017 20:59

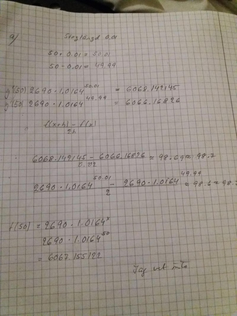
Några kommentarer. (Jag är petig nu, och kommenterar inte allt som är rätt, utan bara det som inte är rätt - så det ser kanske värre ut än vad det är :-) )

På uppgift a) frågar man inte efter värdena på y(50) och y'(50). Man undrar vad du får svar på, om du beräknar y(50) och y'(50).

Jag gissar att du skriver y'(50) här nedan för att du är på väg att beräkna y'(50), men det hör ju inte hemma i ekvationen.

Formeln nedan är inte korrekt. Du skriver att du beräknar funktionsvärdena för (x+h) och för x, men i nämnaren har du avståndet 2h, alltså dubbelt så mycket som skillnaden mellan (x+h) och x. Jag gissar att du menar f(x+h) och f(x-h), så som dina fortsatta beräkningar visar.

Skall man vara petig så är ju funktionen y(x). Du använder här nedan beteckningen f(x). En bagatell, men det borde stå y(50).

Päivi 5547 – Avstängd
Postad: 28 dec 2017 21:05 Redigerad: 28 dec 2017 22:01

Det ser detta bättre ut?

Affe Jkpg 6630
Postad: 28 dec 2017 23:58 Redigerad: 29 dec 2017 00:01

b)

  • Funktionerna A och B är relativt lätta att derivera på "vanligt sätt". Repetera om vanliga deriverings-regler.
  • Funktionen A har Albiki redan deriverat åt dig .... fast hen bara har skrivit siffror.
Päivi 5547 – Avstängd
Postad: 29 dec 2017 00:15

Deriverings regler har inte jag gått gått genom ännu. Det kommer först nästa kapitel. Det här handlar om grafisk och numerisk derivering. Differens kvot framåt, bakåt och central differens kvot. Detta är begreppet om derivata. Är inlednings vis. 

Jag ligger helt början med derivata. 

Affe Jkpg 6630
Postad: 29 dec 2017 09:13
Päivi skrev :

Deriverings regler har inte jag gått gått genom ännu. Det kommer först nästa kapitel. Det här handlar om grafisk och numerisk derivering. Differens kvot framåt, bakåt och central differens kvot. Detta är begreppet om derivata. Är inlednings vis. 

Jag ligger helt början med derivata. 

Jaha...vilka anmärkningsvärt komplicerade uppgifter för att öva på detta moment!

Affe Jkpg 6630
Postad: 29 dec 2017 10:45

Sedan blir det enklare om du använder "ett h"

f´(x)=limx0f(x+h)-f(x)h
Sedan ska du lösa ovanstående formel först, innan du börjar arbeta med att sätta in siffervärden.
Det händer oftast "något magiskt" med "h" i nämnaren...."h" försvinner.

Yngve 42946
Postad: 29 dec 2017 12:16

Hej Päivi.

Jag tycker du har börjat bra på uppgiften. Du gör rätt som använder numerisk derivering på denna uppgift. Du ska altså inte använda derivatans definition med limes h -> 0 här, det blir alldeles för komplicerat.

Du verkar även ställa upp beräkningarna rätt.

Jag hittade dock två slarvfel:

1. Du har summerat fel, det ska inte bli någon decimal i summan (rödmarkerat).

2. Du har missat exponenten i andra termen (blåmarkerat).

Päivi 5547 – Avstängd
Postad: 29 dec 2017 12:21

Ok Yngve!

Jag håller på  installerar internet i min sambos dator nu. Jag ska titta på det här närmare. 

Jag hör av mig snart. Jag tror att det är uppdateringar på gång där. 

Päivi 5547 – Avstängd
Postad: 30 dec 2017 05:25 Redigerad: 30 dec 2017 07:28

Päivi 5547 – Avstängd
Postad: 30 dec 2017 05:26

Det andra är facit till uppgifterna. Vad är det som är snett nu?

ConnyN 2625
Postad: 30 dec 2017 09:13

Du har bara ett litet fel. Det ska vara 6075.813486 istället.

Det blev en bra repetition för mig med och central differenskvot finns inte med i min Matematik Origo 3C. Annars gillar jag den boken som är pedagogisk.

Otroligt bra kämpat av dig.

Päivi 5547 – Avstängd
Postad: 30 dec 2017 09:17

Päivi 5547 – Avstängd
Postad: 30 dec 2017 09:18

Päivi 5547 – Avstängd
Postad: 30 dec 2017 09:18

Detta är modell c

ConnyN 2625
Postad: 30 dec 2017 09:36

En luring de har är att de ber oss att svara med tre värdesiffror.
Det syns på deras svar, men det kanske du redan lagt märke till.

Modell C gick ju också bra!

Päivi 5547 – Avstängd
Postad: 30 dec 2017 09:41 Redigerad: 30 dec 2017 10:32

Jag behöver veta, hur jag ska gå tillväga med det här grafiskt sätt

Yngve 42946
Postad: 30 dec 2017 11:19
Päivi skrev :

Jag behöver veta, hur jag ska gå tillväga med det här grafiskt sätt

Det enklaste är nog att låta grafräknaren rita alla tre funktionerna.

Päivi 5547 – Avstängd
Postad: 30 dec 2017 12:12

Skulle jag kunna räkna det här. Ta ex 60, 70, 80 ovs, Yngve?

Yngve 42946
Postad: 30 dec 2017 12:43
Päivi skrev :

Skulle jag kunna räkna det här. Ta ex 60, 70, 80 ovs, Yngve?

Om du menar att rita graferna för hand med hjälp av värdetabeller så javisst, det går.

Men om du inte på förhand "vet" ungefär hur kurvorna kommer att se ut sä kommer du att behöva många punkter och det kommer därför att ta lång tid .

Päivi 5547 – Avstängd
Postad: 30 dec 2017 12:52

Kan man hoppa över den på det viset att man inte räknar den själv, Yngve?

Nu vet jag inte, hur jag får miniräknaren göra det. Jag kan inte få miniräknaren rita grafer. 

Jag har Casio fx 9750 GII

texas Instrument TI-85

        ".                     TI-82

ConnyN 2625
Postad: 30 dec 2017 14:10

TI-82 går utmärkt. Tryck på Y= uppe till vänster. Skriv in t.ex. -0,00718X^3+0,935X^2+41,7X+2550
Lägg märke till att du måste använda minustecknet inom parantes bredvid Enter.

När du är klar trycker du på GRAPH högst uppe till höger.
Om du inte ser någon graf prova att trycka på ZOOM uppe och därefter 6 för ZStandard

¨

Päivi 5547 – Avstängd
Postad: 30 dec 2017 14:17

Hur kan man ändra det till mindre så man ser hela grafen i skärmen? 

Dr. G 9667
Postad: 30 dec 2017 14:21

Prova "zoom fit" eller "zoom out". Blir det för utzoomat så kan du markera det område du vill ha med "zoom box". 

ConnyN 2625
Postad: 30 dec 2017 14:25

Oj den här var svår, om du skrev in den jag beskrev.
Då trycker man på WINDOW uppe och man får prova sig fram.
Nu blev det X-min =-1000  X-max=1000  Y-min =-100000  Y-max=200000

När du väl ser grafen kan du zooma in och ut, men du skulle ha stor hjälp av att söka Börje Sundvall på You Tube han har Matte 1, 2 och 3 ute på nätet och där ingår allt inklusive en lektion för varje årskurs på grafräknare. Här kommer en länk.
 https://www.youtube.com/channel/UCiB6orKGATSL1yKSwfQ3x0Q

Päivi 5547 – Avstängd
Postad: 30 dec 2017 14:31

Tack för det. Jag ska titta på det. 

Bubo 8209
Postad: 30 dec 2017 16:30

En Google-sökning på "math graph online" ger ungefär 229 000 000 träffar.

https://www.desmos.com/calculator är förstaträff och verkar väldigt bra.

Yngve 42946
Postad: 30 dec 2017 18:06

Desmos är toppen. Väldigt enkelt att snabbt rita grafer. Det är enkelt att även lägga in samband som inte låter sig uttryckas som funktioner av x, t.ex. den vertikala linjen x = 4.

Wolframalpha är mer kraftfullt och ger även algebraiska lösningar på svåra ekvationer samt mycket mer.

Däremot så tycker jag absolut att du ska lära dig hur din grafräknare fungerar Päivi. Desmos får du inte ta med dig på proven.

Päivi 5547 – Avstängd
Postad: 30 dec 2017 20:11

Det förstår jag. Det är grafritande räknare som jag behöver hjälp med, Yngve. 

Svara
Close