Vilka är asymptoterna?
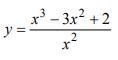
Två av följande ekvationer A–G är asymptoter till y = (x^3 - 3x^2 + 2) / 2. Vilka två?
A. x = 0
B. y = 0
C. x =1
D. y = 2
E. y = x^2 - 3x
F. y = x + 2
G. y = x-3
Jag har räknat ut genom liggande stolen att ekvationen blir x-3 med 2 som rest. Då känns det som att G är den ena asymptoten, men vilken är den andra?
Liggande stolen hur? Har du skrivit av uppgiften fel? y har inte asymptoter, men det är inget svarsalternativ.
nej jag har inte skrivit av uppgiften fel, detta är en uppgift från ett tidigare NP i matte 4. svaret är tydligen A och G men jag vet inte varför
Vilket prov är det från?
Tillägg: 21 maj 2023 11:48
Jag hittade den. Du har visst skrivit av uppgiften fel. Testa att räkna på den här nu så ska du se att det går mycket lättare :).

jaha oj, förlåt nu såg jag! Jag löste det :)
svaret är A och G. A eftersom det alltid blir 0 och G eftersom när jag använde liggande stolen till att räkna ut kvoten så blev det x-3
eller snarare 0 eftersom ekvationen inte blir definierad för alla reella tal