visa att (Har försökt skriva med formeleditorn)
Är lite frågande.
Vill du bevisa likheten ? I så hfall har du glömt ett x strax till höger om likhetstecknet.
Jag skulle börja om från början, bärja med VL (precis som du gör) och göra om alla tangens till sin/cos istället. Då får du inget värre än sinkvadrat i nämnaren.
Hej Päivi!
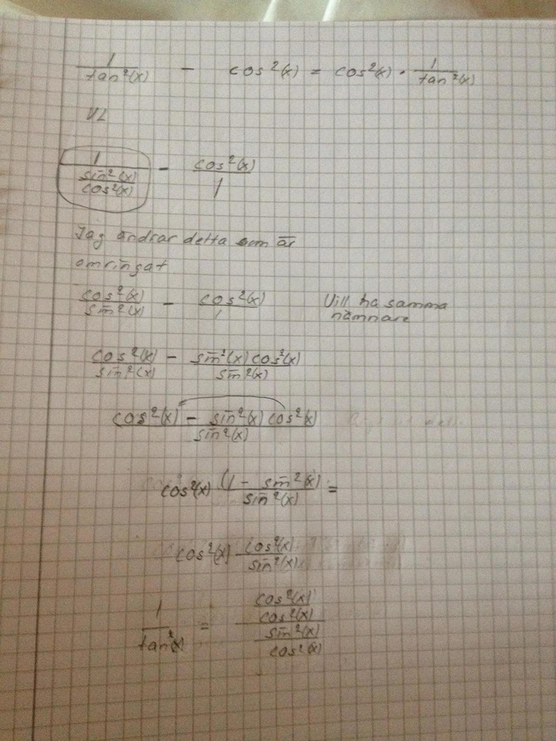
Du gör fel på rad 3 där du påstår att
1 - cos^2(x)tan^2(x)
är samma sak som
tan^2(x) - cos^2(x)tan^2(x).
Albiki
Det är helt korrekt som Du Magdalena skriver. Jag kontrollerade en gång till vad det står i boken. Det är korrekt som du Magdalena skriver.
Jag blev fundersam på vad jag hade skrivit i min block.
Därför vill jag ta upp den här uppgiften.
Jag ville också börja med sin och cos. Blev väldigt fundersam vad det står.
Päivi skrev :Jag ville också börja med sin och cos. Blev väldigt fundersam vad det står.
Men gör det då! Börja med . Gör om till gemansam nämnare. Fortsätt själv!
Bryt ut i täljaren.
Det blev fel tecken när du bröt ut. Det gäller att
Sedan kan du förenkla genom att använda dig av trigonometriska ettan.
Det där blir cos ^2(x) som finns inom parentesen.
Japp det stämmer, så då har du att
Nu ser det väldigt mycket ut som det du ska visa att det är lika med. Ser du hur du ska göra de sista stegen?
Nu är jag osäker. Kan man förlänga med sin^2(x)?
Om man jämför med det du ska visa att det är lika som, dvs du ska visa likheten
Du ser att du har faktorn "färdig", det finns där i båda leden. Så det som borde gälla är att
Så om uppgiften bara hade varit att du skulle visa denna likhet, hur hade du då gått tillväga för att visa den?
Det som stör är att cos^2(x) står i täljaren och sin^2 (x) i nämnaren. Där är jag frågetecken.
Om du testar gå åt andra hållet då? Så att du fortsätter räkna från
Hur skulle du gå tillväga då?
Päivi skrev :Det som stör är att cos^2(x) står i täljaren och sin^2 (x) i nämnaren. Där är jag frågetecken.
Visa hur ditt VL ser ut nu.
Du är ju nästan framme vid målet.
Ja. På näst sista raden, skriv om det jag har ringat in med blått som något med tangens.
Om du har svårt att se vad det kan vara, titta på din egen omformning av vänsterledets första term alldeles i början (markerat med rött).

Jag ska koppla mig mot dator nu. Jag ska titta på det. Jag måste till toan här, men kommer omgående.
Jag har ju dividerat det med 1. Därför har det blivit så. Därför har det blivit så att cos ligger i täljaren. Det här är något jag är frågetecken över.
Päivi skrev :Jag har ju dividerat det med 1. Därför har det blivit så. Därför har det blivit så att cos ligger i täljaren. Det här är något jag är frågetecken över.
Men ser du inte att det uttryck som är inringat i blått är identiskt med det uttryck som är inringat i rött strax ovanför?
Att de två uttrycken som är inringade i rött är identiska har du själv visat.
Alltså är uttrycket i blått identiskt med det allra första uttrycket som är inringat i rött.
Ersätt det blåa med det röda så är du klar.
Ska jag vända på det så det blir sin/cos.?
Päivi skrev :Ska jag vända på det så det blir sin/cos.?
Nej det kan du inte göra.
Läste du vad jag skrev om blå och röd markering?
Förstod du vad jag skrev?
Då gjorde jag inte det. Jag förstod inte då vad du menade.
Och som svar på din fråga om hur man kan ändra det så att det blir tangens: titta på uttrycken som jag har ringat in i rött i bilden ett par kommentarer tillbaka. Du har ju gjort precis denna omvandling, fast åt andra hållet.

Det var ju inte ok att ändra detta tillbaka till ursprungs läget. Jag har ju tittat på båda, men jag förstår ändå, inte vad du menar.
Päivi skrev :Det var ju inte ok att ändra detta tillbaka till ursprungs läget.
Vem har sagt det?
Du frågade:
Ska jag vända på det så det blir sin/cos.?
Svaret på den frågan är nej, du kan inte bara vända på det. sin/cos är (i de flesta fall) något annat än cos/sin.
Jag har inte fått lära mig något om cot tangens. Jag vet att det byter plats har min sambo pratat om. Det där är nytt för mig. Det har varit prat om tangens hittills.
Hur som helst förstår jag ändå inte. Hur ska jag göra nu?
Päivi skrev :Jag har inte fått lära mig något om cot tangens. Jag vet att det byter plats har min sambo pratat om. Det där är nytt för mig. Det har varit prat om tangens hittills.
Du behöver inte blanda in begreppet cotangens här.
Du har ju själv i början av din uträkning visat att .
Det är det jag har ringat in i rött. Är du med på att det är just det du har gjort?
Det betyder att du kan ersätta (och du har gjort det) med .
Men eftersom likheten uttrycker en matematisk identitet så betyder det att du även kan gå åt andra hållet och ersätta med .
Gör nu det.
Ersätt det jag har ringat in i blått () med det ekvivalenta uttrycket .
Jämför sedan med högerledet.
Det är ju lika med höger ledet nu.
Då har jag fått lära mig något nytt här!
Tack för detta Yngve!
Päivi skrev :Då har jag fått lära mig något nytt här!
Tack för detta Yngve!
Nja, det var nog inget nytt. Att ersätta trigonometriska uttryck med andra ekvivalenta trigonometriska uttryck är inte nytt gör dig, det har du hållit på med ett tag nu.
Vad jag inte har läst från matte 4 än, det är bevis och bevis metoder. Där tas det upp något som jag inte vet vad än? Det här att kunna komma tillbaka göra så här. Jag har frågat om det här tidigare också, men inte fått rätta svaret. Nu förstår jag mycket bättre. Jag satte en fråga tidigare om två räkne sätt som påminner om varandra. Ville veta, varför man gör så ena gången. Det här har jag tagit upp i tråden. Nu kom riktiga svaret från dig. Nu förstår jag det här på helt annat sätt.
Det du har använt i den här uppgiften är
1) Definitionen av tangens: tan(v) = sin(v)/cos(v)
2) Att dela med ett bråk: 1 / (a/b) = b/a
3) Förlängning och förkortning av bråk: ab/cb = a/c
4) Att multiplicera in i parenteser: a(b-c) = ab - ac
5) Trigettan: sin^2(v) + cos^2(v) = 1
När du tittar tillbaka på din lösning, ser du nog att alltihop består av dessa fyra samband.
Det är helt riktigt. Jag hade nyss svårt att läsa texten vad du skrev. När telefonen håller på laddar in allt, hoppar texten. Man försöker läsa, helt plötsligt hoppar den. Nu har jag läst i alla fall.
Jag ska till affären nu och sedan fortsätter jag med matten på nytt.
Har du möjlighet att jobba enbart med matten, när du jobbar med matten?
I ganska många inlägg berättar du om hur du har strul med datorn och (ännu mer) med telefonen. Andra sysslor tar också uppmärksamhet.
Alla människor fungerar olika, men jag skulle jobba bättre om jag
- hade hållit mig till datorn, och undvikit en strulande telefon
- hade skrivit inlägg i lugn och ro i något annat program (Word, Anteckningar/Notepad, ...) och sedan postat inläggen när de känns färdiga.
Nu kan jag inte göra så mycket andra sysslor än bara syssla med matten. Jag måste naturligtvis äta och dricka kaffe. Jag måste handla också. Jag kan inte ex städa nu. Det är renovering på gång i huset. Jag har fått tömma mitt förråd också. De byter fönster överallt här. Måste vänta med dammsugningen eftersom det är svårt kunna röra hemma nu.
Under tiden som allt pågår bara jag slipper vara med, ägnar jag all min tid åt matten.
Jag läser kommentarer från telefonen. Telefonen får ladda ner allt först. Så fort jag försöker ta fotografier kan den stänga av mitt i allt för mig. Jag har datorn på hela tiden. Ibland hänger den sig. Jag svarar snabbare med telefonen. Visst skulle jag kunna jobba med world först och sedan kopiera in texten.
Jag ägnar all min tid princip bara till matten.
Jag gör i ordningen djuren både på morgon och kväll.
Mitt råd är att du slutar använda telefonen till matten - använd bara datorn. Ju mer du använder formeleditorn, desto enklare blir det för dig. Jag skulle inte använda mig av Word - vet inte om det går att exportera formler från Word till Pluggakuten.
Hur många djur har du? Jag vet att du har en papegoja.
Jag har tre djur tillsammans. Det brukar ta ca 30-40 minuter göra i ordning alla tillsammans om det inte är något alldeles speciellt. Ibland kan det vara så med. Det är inga djur som jag behöver gå ut med. Jag har två kaniner av olika raser. En härstammar från Amerika. Är väldigt speciell. Jag har sysslat förut uppfödning av djur speciellt hundar. Min sambo och jag är väldigt intresserad av genetik. Nu ägnar jag mycket tid åt matten. Det är något som jag måste hålla på med. Det är samtidigt mycket intressant ämne.
Just nu är jag i centrum och svarar från min telefon. Jag ska hem nu. Har varit handlat här.
I centrum? Det är precis det jag menar. Ta ledigt härifrån när du kan, och återkom sedan utvilad och fräsch.
Nu har jag nyss kommit hem och och är i hallen. Jag ska äta lite och sedan tar jag kaffe. Därefter sätter jag gång med matten på nytt. När jag vilar, passar jag på göra matte samtidigt. Några andra vilo stunder tar jag inte.
Nej, och det märks. Du ger dig aldrig chansen att faktiskt förstå det du gör, vilket gör att du får problem med uppgifter som använder exakt samma saker. I ditt fall så ser jag inte hur det gynnar dig att hela tiden tänka på matematik, du behöver ju exakta motsatsen.
Är det något nytt jag måste lära mig typ av regler, då tar jag ledigt från matten ca 2 dagar. Sedan frågar jag mig själv, kommer jag ihåg nu de där. Jag vet, när jag måste ta ledigt från matten. Det som måste tjatas in. Det tjatar jag in tills det sitter där. Jag vill kontrollera lite bakåt vad jag har gjort. Vill göra om samma uppgifter utan att titta, hur jag gjorde förut särskild de här trigonometriska identiter och dubbla vinkel. Det måste sitta mer.
Mina vilo stunder är matematik. Jag kan inte tänka mig titta på tv. Matte går före tv. Jag vågar inte ens resa någonstans, då sitter matte lite löst.
Matte är för mig avkoppling samtidigt. Det är så intressant att det kan jag hålla på hur mycket som helst.
Päivi skrev :Är det något nytt jag måste lära mig typ av regler, då tar jag ledigt från matten ca 2 dagar. Sedan frågar jag mig själv, kommer jag ihåg nu de där. Jag vet, när jag måste ta ledigt från matten. Det som måste tjatas in. Det tjatar jag in tills det sitter där. Jag vill kontrollera lite bakåt vad jag har gjort. Vill göra om samma uppgifter utan att titta, hur jag gjorde förut särskild de här trigonometriska identiter och dubbla vinkel. Det måste sitta mer.
Mina vilo stunder är matematik. Jag kan inte tänka mig titta på tv. Matte går före tv. Jag vågar inte ens resa någonstans, då sitter matte lite löst.
Matte är för mig avkoppling samtidigt. Det är så intressant att det kan jag hålla på hur mycket som helst.
Jag förstår det. Och trots vad jag skrev i din tidigare tråd så är det inte illa menat; men jag har studerat rätt mycket matematik och jag tror att man måste inse när det räcker. Jag tycker själv matematik är extremt intressant (så intressant att jag tar en examen i det) men även jag kan inte läsa matematik hela tiden. För mig (och för nästan alla andra jag träffat) så handlar det snarare om tid. Att låta koncept sjunka in. Ingen kan allt man gjort utantill, jag kan t.ex. inte alla grejer från envariabelsanalys utantill; men om jag måste så tar det inte lika lång tid att läsa på sig. Det viktiga är att koncepten inte försvinner. Att kunna trigonometriska identiteter utantill är (enligt mig) helt irrelevant. Är jag intresserad av halva vinkeln för cos så kollar jag upp det.
Jag tror att det skulle hjälpa dig att ta lite mer ledigt från matematik, det gynnar mycket mer än vad du tror. Matematiken må vara viktigare än TVn, men TVn kan vara en bra avlastning. Hjärnan arbetar med mycket fastän du gör andra saker än just matematik. :)
Jag måste vara hos djuren ibland. Jag läste matte dagligen förut. Jag fick samtidigt ta hand om djuren. När jag kom in till nytt kapitel, då tog jag ledigt från matte. Ville gå tillbaka vad jag har gjort tidigare. Därefter vill jag tänka lite och känna mig om jag är redo att vilja lära mig nytt. Det gamla måste sitta först inne.
Tv tittar jag nästan aldrig. Det är inte intressant det minsta för mig. För mig är det ingen avkoppling. Ska jag titta på tv, då kan jag somna bort. Sedan vet jag inte, vad som än händer i tv. Det finns inget intressant där.
Jag kan inte förstå, men för mig är matte avkoppling.
Min sambo märkte också att jag tog ledigt från matte. Jag sa, man måste göra det. Man kan inte lära sig hela tiden nytt. Gamla måste först sitta i hjärnan. Det värsta av allt är, när min sambo har gått bort. Det har varit mycket stress och bråk och massa annat tjafs runt om alltihop. Jag har stått på min sambos sida hela tiden.
Han själv var matematik och fysik lärare i gymnasie nivå. Han hade vuxna elever. Han ställde mycket höga krav. Man fick ta eget ansvar över allt. Var det något som man hade problem med. Då var man tvungen ta tag i det och öva. Han sa aldrig, vad man måste öva. Det var man tvungen veta själv. Han försökte stressa upp mig. Det tyckte jag inte om. Han var väldigt bra på förklara. Sedan var jag tvungen göra minnes noteringar och lära mig om det. Han såg exakt vad jag kunde. Han visste exakt, var han var tvungen hjälpa mig. Jag kände på många gånger att han vaktade mig flera gånger för att ha koll på, vad som kan vara besvärligt. Det som var besvärlig, det kom in i provet.
Han tyckte inte att jag skulle ägna så mycket tid för trigonometri av den anledningen eftersom jag ligger i egentligen i 3 c matte. Jag har inte förkunskaper till matte 4. Han visste, man har lättare lära sig saker där man egentligen ligger. Matte 4 är över kurs för mig. Jag läser över det än vad jag egentligen ligger. När jag har läst hela matte 3c och kommer till matte 4, blir det mycket enklare ta tag på det, när man redan har varit inne på det tidigare. Jag skulle inte kunna läsa matte 5 idag. Har absolut inte kunskaper för den matten. Jag blev intresserad av trigonometri eftersom jag tyckte att trigonometri var roligt både i matte A och C kursen. Jac tänkte, men då kan jag läsa slut trigonometri. Kommer derivata in, fö måste jag tillbaka till matte 3. Jag måste lära grunderna först. De har inte jag än. Det är inte många som ger sig på läser matte 4, när man ligger i matte 3. De här kvadreings reglerna och massa annat inom algebra. Kunna bryta ut. Det är mycket inom det. Funktionerna tyckte jag var roligt, men första tiden fick jag rita och höra värde tabeller och rita punkter. Man började bli trött på det.
Jag minns, när jac skulle börja med enhets cirklar. Min sambo var med och tittade på. Jag tänkte, vaf är det här för konstig matte. Det liknar inte ens matte mera. Han höll på berätta om kvadranter till mig. Visst jag skrev ner allt vad han berättade. Han pratade om exakta värden till mig. Jag tyckte att det här var intressant.
Jag förstår inte, men matte är avkoppling för mig. Jag blir sugen på något jämt. Jag kan lyssna musik samtidigt, när jag håller på med matten. Jag tycker att matte är vansinnigt intressant. Det finns inget roligare än matte.
Det var det som gjorde, varför min sambo var intresserad av mig eftersom jag har samma intressen. Jag gjorde sammanfattning om matte från varje kurs. De har min sambo sett. Om jag nu glömmer liten detalj någonstans är en sak. Det finns sådana saker hos mig. Jag kommer ändå repetera allt. Då går jag genom alla kurser från början för att se, om jag minns allt riktigt bra. Jag har den möjligheten.
När man är chockad det påverkar allt negativt. Det kändes som det var 100 år sedan, när man läste matte. Man känner av att man har någon hinna som stoppar upp att man inte kan tänka klart. När min mor dog, då mindes jag ingenting, vad jag gjorde igår. Det var hemskt. Nu är det inte så illa med mig, men några minne luckor har jag.
Min far har en läkare vän och jag har lärt känns honom 5-6 år tillbaka. Han sa till mig, så länge jag saknar min sambo kommer det vara svåra tider. Han sa, det här minnet kommer tillbaka. Det mildras undan för undan. Man blir bättre på komma ihåg desto mera träning man får. Till slut släpper det. Det är inte samma sak att känna en person som man inte delar livet med. Allra värst är den närmaste man har. Har man tyckt om personen väldigt mycket blir saknaden väldigt stor. Jag har aldrig träffat trevligare människa än vad han var. Jag kände på mig från början att utan honom kan jag inte vara mer. Jag var orolig jämt, när hsn var borta att inget händer för honom. Jag var rädd om honom. Att han nu är borta, har det känts verkligen hemskt. Sorgen hos mig är svår av den anledningen.
Matten gör att jag måste tänka på uppgiften. Det har varit mycket under den här tiden att jag haf haft svårt koncentrera mig fast jag har velat. Gravsättning hade vi en månad tillbaka. Det har varit bråk om det också. Nu har jag en lugnare period och kan ta in fakta på annat sätt än tidigare. Därför vill jag titta lite bakåt. Det känns inte lika jobbigt. Det har varit mycket stress hela tiden. Jag brukar suga in fakta, när det gäller matte. Jag får inte ha annan typ störning bredvid som irriterar mig. Jag vill koncentrera på matte. Jag vill inte ens träffa min granne och gå fika hem till henne. Matten går före allt. Jag är helt galen vid matte. Det finns inget roligare än matte.
Päivi skrev :Jag måste vara hos djuren ibland. Jag läste matte dagligen förut. Jag fick samtidigt ta hand om djuren. När jag kom in till nytt kapitel, då tog jag ledigt från matte. Ville gå tillbaka vad jag har gjort tidigare. Därefter vill jag tänka lite och känna mig om jag är redo att vilja lära mig nytt. Det gamla måste sitta först inne.
Tv tittar jag nästan aldrig. Det är inte intressant det minsta för mig. För mig är det ingen avkoppling. Ska jag titta på tv, då kan jag somna bort. Sedan vet jag inte, vad som än händer i tv. Det finns inget intressant där.
Jag kan inte förstå, men för mig är matte avkoppling.
Min sambo märkte också att jag tog ledigt från matte. Jag sa, man måste göra det. Man kan inte lära sig hela tiden nytt. Gamla måste först sitta i hjärnan. Det värsta av allt är, när min sambo har gått bort. Det har varit mycket stress och bråk och massa annat tjafs runt om alltihop. Jag har stått på min sambos sida hela tiden.
Han själv var matematik och fysik lärare i gymnasie nivå. Han hade vuxna elever. Han ställde mycket höga krav. Man fick ta eget ansvar över allt. Var det något som man hade problem med. Då var man tvungen ta tag i det och öva. Han sa aldrig, vad man måste öva. Det var man tvungen veta själv. Han försökte stressa upp mig. Det tyckte jag inte om. Han var väldigt bra på förklara. Sedan var jag tvungen göra minnes noteringar och lära mig om det. Han såg exakt vad jag kunde. Han visste exakt, var han var tvungen hjälpa mig. Jag kände på många gånger att han vaktade mig flera gånger för att ha koll på, vad som kan vara besvärligt. Det som var besvärlig, det kom in i provet.
Han tyckte inte att jag skulle ägna så mycket tid för trigonometri av den anledningen eftersom jag ligger i egentligen i 3 c matte. Jag har inte förkunskaper till matte 4. Han visste, man har lättare lära sig saker där man egentligen ligger. Matte 4 är över kurs för mig. Jag läser över det än vad jag egentligen ligger. När jag har läst hela matte 3c och kommer till matte 4, blir det mycket enklare ta tag på det, när man redan har varit inne på det tidigare. Jag skulle inte kunna läsa matte 5 idag. Har absolut inte kunskaper för den matten. Jag blev intresserad av trigonometri eftersom jag tyckte att trigonometri var roligt både i matte A och C kursen. Jac tänkte, men då kan jag läsa slut trigonometri. Kommer derivata in, fö måste jag tillbaka till matte 3. Jag måste lära grunderna först. De har inte jag än. Det är inte många som ger sig på läser matte 4, när man ligger i matte 3. De här kvadreings reglerna och massa annat inom algebra. Kunna bryta ut. Det är mycket inom det. Funktionerna tyckte jag var roligt, men första tiden fick jag rita och höra värde tabeller och rita punkter. Man började bli trött på det.
Jag minns, när jac skulle börja med enhets cirklar. Min sambo var med och tittade på. Jag tänkte, vaf är det här för konstig matte. Det liknar inte ens matte mera. Han höll på berätta om kvadranter till mig. Visst jag skrev ner allt vad han berättade. Han pratade om exakta värden till mig. Jag tyckte att det här var intressant.
Jag förstår inte, men matte är avkoppling för mig. Jag blir sugen på något jämt. Jag kan lyssna musik samtidigt, när jag håller på med matten. Jag tycker att matte är vansinnigt intressant. Det finns inget roligare än matte.
Det var det som gjorde, varför min sambo var intresserad av mig eftersom jag har samma intressen. Jag gjorde sammanfattning om matte från varje kurs. De har min sambo sett. Om jag nu glömmer liten detalj någonstans är en sak. Det finns sådana saker hos mig. Jag kommer ändå repetera allt. Då går jag genom alla kurser från början för att se, om jag minns allt riktigt bra. Jag har den möjligheten.
När man är chockad det påverkar allt negativt. Det kändes som det var 100 år sedan, när man läste matte. Man känner av att man har någon hinna som stoppar upp att man inte kan tänka klart. När min mor dog, då mindes jag ingenting, vad jag gjorde igår. Det var hemskt. Nu är det inte så illa med mig, men några minne luckor har jag.
Min far har en läkare vän och jag har lärt känns honom 5-6 år tillbaka. Han sa till mig, så länge jag saknar min sambo kommer det vara svåra tider. Han sa, det här minnet kommer tillbaka. Det mildras undan för undan. Man blir bättre på komma ihåg desto mera träning man får. Till slut släpper det. Det är inte samma sak att känna en person som man inte delar livet med. Allra värst är den närmaste man har. Har man tyckt om personen väldigt mycket blir saknaden väldigt stor. Jag har aldrig träffat trevligare människa än vad han var. Jag kände på mig från början att utan honom kan jag inte vara mer. Jag var orolig jämt, när hsn var borta att inget händer för honom. Jag var rädd om honom. Att han nu är borta, har det känts verkligen hemskt. Sorgen hos mig är svår av den anledningen.
Matten gör att jag måste tänka på uppgiften. Det har varit mycket under den här tiden att jag haf haft svårt koncentrera mig fast jag har velat. Gravsättning hade vi en månad tillbaka. Det har varit bråk om det också. Nu har jag en lugnare period och kan ta in fakta på annat sätt än tidigare. Därför vill jag titta lite bakåt. Det känns inte lika jobbigt. Det har varit mycket stress hela tiden. Jag brukar suga in fakta, när det gäller matte. Jag får inte ha annan typ störning bredvid som irriterar mig. Jag vill koncentrera på matte. Jag vill inte ens träffa min granne och gå fika hem till henne. Matten går före allt. Jag är helt galen vid matte. Det finns inget roligare än matte.
Jag blir extremt tagen av din text Päivi. Jag beklagar förlusten. Jag kan verkligen förstå vad du menar då jag också har upplevt samma sak. Jag blev själv väldigt intresserad av matematik när min mor dog, mest som en hantering av min sorg (eller brist av hantering?). Men intresset bestod längre än sorgen. (I alla fall innan man lört sig hantera sorgen)
Jag hoppas du ändå tillåter dig själv att ta en lugn stund från matten. Jag, precis som du, tänkte också matematik hela tiden men jag tror inte det gav mig mer än sorghantering just då. Det var kanske hela poängen ändå.
Jag skulle nog ändå ge som tips att ibland tänka på annat. Det kan behövas också. :-)
Jag skulle vilja ge dig tipset att göra något med händerna. Något du tycker är kul att göra -sticka, måla, spela ett instrument - något som använder en annan del av hjärnan. Eller rensa ogräs - inte direkt kul, men känns bra efteråt! Eller ta en promenad, ägna dig åt någon idrott, simma.
Det händer att jag någon gång spelar piano. Där var jag och min sambo likadana. Han spelade på orkester före, innan han blev matte lärare.
Jag har stickat mycket och är ganska trött på det. Har sytt också. Jag gör sådant i något ändamål inte bara på skoj skull.
Idrott är jag inte det minsta intresserad av. Simmat har jag gjort på den tiden, när min sambo levde. Det blev, när det var riktigt varma dagar, när man orkade inte vara ute eller inne.
Någon gång spelar jag piano. Jag tog piano lektioner, när jag var 10 års ålder. Noterna finns kvar i minnet.
Min sambo och jag, vi var väldigt lika varandra . Han såg ingen skillnad mellan oss. Det enda skillnaden som han sa, det var att vi är olika kön.
Inte kunde jag ana att jag skulle träffa så lik mig som han var. Vi passade verkligen bra ihop.
Här är jag 10 års ålder.
Promenader tar jag stort sett dagligen. Det får inte vara för mycket någonting. Jag åkte förra året till Finland. Träffade mycket människor. Jag kände som jag skulle ha glömt allt om matte. Det var för mycket det där.
Jag har sagt att i år åker jag inte till Finland. Jag tog min sambo flera gånger till Finland. Jag minns hans ord. Han ville inte åka tillbaka till Sverige. Vi hade roligt där. Han trivdes bra i Finland. Han blev intresserad vilja lära sig finska. Han läste par år finska. Det gick bra för honom. Det är svårt språk.
Jag kan inte förstå än idag att han är borta. Tiden försvann för oss. Tiden gick för fort.






