Volym under en kurva
Hejsan!
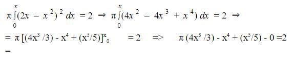
Sitter fast på denna fråga, jag kom fram hittills men jag osäker om jag har gjort rätt ens. Kan någon hjälpa mig med att förstå vad och hur jag ska göra, tack ?


Välkommen till Pluggakuten!
Handlar det möjligen om en rotationsvolym? I så fall, är det en rotation om x-axeln, y-axeln eller något annat?
Pi skall stå utanför hela uttrycket. Annars är det rätt. Kan du lösa ekvationen?
Smaragdalena skrev:Välkommen till Pluggakuten!
Handlar det möjligen om en rotationsvolym? I så fall, är det en rotation om x-axeln, y-axeln eller något annat?
Både x- och y-axeln
Laplace skrev:Pi skall stå utanför hela uttrycket. Annars är det rätt. Kan du lösa ekvationen?
ja, det vet jag men hade skrivit fel här.
Nej jag kan inte.
Det här ser ut att vara en uppgift som man behöver lösa numeriskt, om jag tänker rätt.
Laplace skrev:Pi skall stå utanför hela uttrycket. Annars är det rätt. Kan du lösa ekvationen?
Nja inte i det läget. Allting ser rätt ut.
Jag gjorde som så att jag flyttade till H.L. och skrev in V.L. för sig och H.L. för sig i grafräknaren och fick på det viset en korsande punkt som gav x = 1,104... och som verkade stämma bra vid insättning.
Hur gick du vidare Dexter?