Volymen på ett klot?
En vattenkran står och droppar med en droppe per sekund. Vattendroppen har ungefär formen av ett klot med radien 1,5 mm. Hur många liter vatten slösas bort under ett år om man inte lagar kranen?
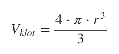
Behöver man räkna ur volymen på klotet, eller kan man lösa uppgiften ändå. Och vad gör man sen?
(Går i åk9 och har då inte lärt mig att räkna volym på klot)
Du behöver räkna ut volymen av en droppe.
En genomgång finns här: https://www.matteboken.se/lektioner/skolar-9/geometri/klot-och-sfarer

Tack så mycket, uppskattar hjälpen mycket!!
Fick fram att volymen var ≈ 5,3
Är det rätt?
Min uträkning: (gjorde inte riktigt klart den men jaja)

I facit stod det: ca 446 liter
Tack, men hur omvandlar man mm till liter?
Om du ändrar det och gör om resten av uträkningarna på samma sätt så får du fram
445 603 680 mm^3
Volymenheter fungerar på det sättet att
Dessutom är 1 dm^3 samma sak som 1 liter.
Så du behöver omvandla först till dm^3, för att veta hur många liter det är
Tack men jag cet inte hur man omvandlar
***vet
Du har 445 603 680 mm^3.
Då
så behöver du dividera med 1000 för att komma till enheten cm^3
Det är samma sak som att flytta decimaltecknet tre steg åt vänster.
Kan du börja med det?
Vadå 0.001 dm3
Asså 1 cm3 = 0.001 dm3
Ja alltså man kan både säga att
Det är samma sak
Precis som att
Kan du då först omvandla till cm^3 och sedan till dm^3?
Aa jdet blir väl asså 445 603 680 mm3 ÷ 1000 som då blir 445 603.68. Och sen dividera det med tusen igen och det blir väl ≈ 445
Ja precis

Det sista går att göra därför att man ska känna till att
Okej tack så mycket!
Ingen orsak!