Bestäm backens lutning
Hej, har stött på denna uppgift:
När jag ville derivera funktionen i a) tänkte jag att jag kunde tillämpa följande potenslag för exponenten:
Dvs. Så att funktionen ser ut på följande sätt och sedan derivera: y= 0,5e ˆ -2x. Det stämmer ej. Varför inte det?
Sedan i b uppgiften har jag också en fråga. Hur ska jag veta att det är andraderivatan jag bör undersöka? Vad menas egentligen med ”undersök den punkt där backar med sådan lutning är brantast”? Varför kan det inte betyda ”undersök för vilket x som maximivärdet uppnås”?
Tack på förhand!
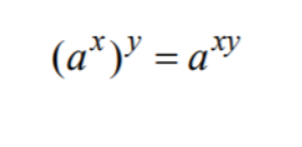
1) Ser du att är inte lika med ?
T.ex.
,
2) När du vill veta lutningen bör du beräkna första derivatan av höjden. För att hitta lutningens maximum kan man undersöka derivatan av lutningen. Dvs derivatan av derivatan.
(Du har rätt: man kan säga ”undersök för vilket x som maximivärdet (av lutningen) uppnås”.)
Tack, nu förstår jag! Jag undrar också i följande fråga om det är samma sak som man ska göra. Dvs. beräkna andra derivatan. De frågar ju om kurvan har någon största lutning, dvs. för vilket x som lutningen är som störst. Kan det stämma (nr. 21):
Med hjälp av andra derivatan kan du hitta maxpunkterna för lutningen, men kan inte svara på frågan direkt.
Om du analyserar själva lutningen, dvs första derivatan ( ) ser du att det är en periodisk kontinuerlig funktion som har oändligt många maxima med värde 3.
En liten undran från min sida. I den första uppgiften 25 a) så behöver vi derivera för att kunna räkna ut lutningen vid x=0,8. Då behöver vi tillämpa kedjeregeln där den inre funktionen är
Den yttre funktionen är
Förlåt om jag slår in öppna dörrar, men det såg ut att finnas en oklarhet i fråga och svar ovan?
