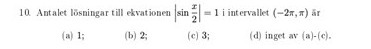
mafy 2022 fråga 10
![]()

Det rätta svaret är a , men jag får svaret till 0 lösningar.
https://www.pluggakuten.se/trad/matematik-och-fysikprovet-2022-losningsforslag/
Jag kollade hur lösningen såg ut på denna tråd, och då hade dem ritat det. Men jag trodde att sådana paranteser betydde ett stängt intervall, har jag blandat ihop det? För blir väl samma svar?
Jag försökte även lösa det på två olika sätt, är båda fel, eller är något rätt men jag tänker fel gällande intervallerna?
(Jag skriver i grader, för det är så jobbigt att skriva pi.)
x/2 = 90 + 360n
x/2 = -90 + 360n
x = 180 + 720n
x = -180 + 720n
-180 är en lösning. 180 är inte en lösning, för det tillhör inte intervallet.
Laguna skrev:(Jag skriver i grader, för det är så jobbigt att skriva pi.)
x/2 = 90 + 360n
x/2 = -90 + 360nx = 180 + 720n
x = -180 + 720n-180 är en lösning. 180 är inte en lösning, för det tillhör inte intervallet.
Är inte -180 och 180 samma sak?
Det är samma vinkel i enhetscirkeln, men det är inte samma tal.
"Men jag trodde att sådana paranteser betydde ett stängt intervall, har jag blandat ihop det?"
Jo så är det nog. Det är inte så lätt att hålla reda på det, men försök att lära in detta utantill.
Ett citat från Wikipedia:

Jag brukar komma ihåg vilken som är sluten respektive öppen på följande sätt. Jämför formen på parenteserna:
Hakparenteserna tar även med hörnen, vilket inte de vanliga parenteserna gör. Detta motsvarar hur hakparenteserna (slutna intervall) även tar med rand-/kantvärdena, medan de öppna parenteserna inte tar med värdena på kanten. Exempel med heltalen 5–9:
Båda intervall tar med heltalen 6, 7 och 8, men hakparenteserna tar även med kanterna. Vilka tal är det som ligger längst ut i intervallet, och därmed kan ses som intervallets kanter? Jo, 5 och 9. Så hakparenteserna noterar mängden 5, 6, 7, 8 och 9, medan de vanliga parenteserna noterar mängden 6, 7, och 8.
Självklart är det här bara en minnesregel, men den kan fungera rätt bra ibland. :)