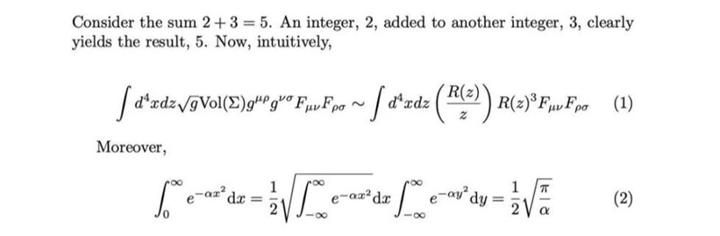
Mer memes till pluggakuten


Känslan när Qetsiyah försöker outmeme:a Smutstvätt:

Bra att ni gör en egen tråd för detta så kan vi old-school gamlingar som inte förstå oss på memer hålla oss borta härifrån :)
Smutstvätt skrev:Känslan när Qetsiyah försöker outmeme:a Smutstvätt:
Haha, när jag såg rubriken så antog jag att det var du som startat tråden! Jag ser nu att du också var den första att svara i min urgamla tråd Random roliga saker. XD
Smutstvätt:

Alla torra pluggakutare:

När man löser en uppgift helt själv

Russell skrev:Smutstvätt skrev:Känslan när Qetsiyah försöker outmeme:a Smutstvätt:
Haha, när jag såg rubriken så antog jag att det var du som startat tråden! Jag ser nu att du också var den första att svara i min urgamla tråd Random roliga saker. XD
Helt rimligt! :D
Smutstvätt:
Alla torra pluggakutare:
Hahahaha ja lite så ibland. :) Men ofta är det uppskattat, och därmed är det värt det (läs: jag kommer inte sluta memea om ni inte bannar mig från forumet). Jag minns fortfarande när jag använde en gif för att svara på en fråga 🤦🏻♀️😂.
Gillar andra Memen i trådstarten. Han vet inte vad 3*4 är men 12! inga problem, hahah asså.
Kan GIFs ens vara memes? Det tycker minsann inte jag! De får ett annat namn: gemes.

Lite lång för att vara meme men ändå
Personlig favorit:

Det där andas maskinteknik teraeagle! Det är varken din eller mitt område det. Har vi ens någon maskinteknikare på pluggakuten?
engineering: haha, man lever alltså inte ett normalt liv om man är ingenjör, bra att veta som en blivande sådan då haha
Jodå åtminstonne en maskinare, M10 vid LTH
Är denna bättre @Qetsiyah?

Herregud, är det där påhittat?
EDIT: jag ser att det är olika syntesgrenar från samma ämne, men ändå, komplicerat! Det ända som vi har lärt oss som kommer i närheten är hydroborering, hatar den reaktionen
Inte en meme, men:
"Construct an open delta-ball centered at x" - the mathematician
-- "Okie doke. What material?" - the engineer

It's funny because it's true.
Känslan när en måste försöka bevisa påståendet:

Jag ångar på på samma tema:
Temat verkar vara bevis för tillfället. Här erbjuder jag några starka tekniker man kan använda! ;)

Proof by symmetry är annars en ganska vanlig teknik:
" We know that so it follows by symmetry that
"
Behöver hata på statistik lite till:

Qetsiyah skrev:Behöver hata på statistik lite till:
"That's really cool, but due to the pandemic, I try to wash my hands after every handshake, in order to break the chain of transmission"
Sann historia :p

Haha här är en till (inte formellt en meme men anyway)

Ooufff, den sved. 😣
Två bidrag ur min "math memes"-folder:


Jag tycker det var en dum meme, F=ma gäller även om objektet börjar med ickenoll hastighet och jag är inte expert på vetenskapshistoria mrn det kan ha varit det som var insikten. Det var ointuitivt för högstadie-jag för på jorden finns inte mycket resistensfri rörelse utom typ maglevtåg i vakuum.
Teraeagle skrev:
Lite som vissa av Sun Tzu:s citat i The Art of War. "Om du ska attackera, attackera när fienden sover". 
Finns många bra strategier också dock. :)
Tillägg: 17 jun 2024 19:38


Qetsiyah skrev:Jag tycker det var en dum meme, F=ma gäller även om objektet börjar med ickenoll hastighet och jag är inte expert på vetenskapshistoria mrn det kan ha varit det som var insikten. Det var ointuitivt för högstadie-jag för på jorden finns inte mycket resistensfri rörelse utom typ maglevtåg i vakuum.
Det anspelar väl på första lagen, F=ma är andra lagen.
Metric stormtrooper 4 lyfe 😎

Tillägg: 17 jun 2024 21:44

Teraeagle skrev:Det anspelar väl på första lagen, F=ma är andra lagen.
Aha oj, jag kollade precis upp det, den förtjänar visst den där memen! Behövs den ens, impliceras den inte av andra lagen?
Teraeagle skrev:
Alltså grejen med Newtons första är väl att den omdefinierade vila. Att ett föremål som befinner sig i rätlinjig rörelse med konstant hastighet kommer att fortsätta göra det tills något stoppar den är inte intuitivt uppenbart.
Hittade en rolig meme:

Smutstvätt skrev:
Här är min variant (jag åt dålig majonäs förut av misstag🤮 och det fick mig att tänka på denna tråd (säger inte att det finns någon koppling där)):

oggih skrev:
Får mig att tänka på de åtta cancerläkarna som dog i flygcrashen i Brasilien, de va påväg till en konferens :(
Som blivande ingenjör kan jag bara hålla med! Får jag lov att bistå med lite mer ingenjörsvisdom?
En gång strök jag faktiskt mot på ett fysikprov och fick full poäng... 😌
naytte skrev:Som blivande ingenjör kan jag bara hålla med! Får jag lov att bistå med lite mer ingenjörsvisdom?
Fixade lite i din formel 😇
Didn’t have to call me out like that
"Proof is left as an exercise to the reader" ahh moment
”Uppenbarligen”
”Inses lätt”
”Självklart”
”Följer naturligt att”
”Utan svårigheter”
”Trivialt”
😭😭😭
Du skulle nog lacka om du fick läsa mitt GA, varannan rad innehöll ett "uppenbarligen", "inses" och dylikt... Jag skrev det med andra ord i äkta matematikeranda! 😂
"Har man minsta gnutta intelligens är det uppenbart att"
"Det vore att förolämpa läsarens förmågor om vi lade tid på att bevisa"
Usch, jag avskyr alla sådana fraser. Tänk om medicinsk vetenskap fungerade så! "Att utvärdera om cigaretter ökar risken för lungcancer lämnas som en övning till läsaren".
Haha jag körde på en annan variant av det i alla mina argumenterande texter och tal på gymnasiet... "för den påläste råder det inget tvivel om att [insert vad du vill slippa förklara här]". Det var jättebra för om motståndaren inte höll med betydde det bara att han inte var påläst :D
Teraeagle skrev:
Påminner mig om det skojiga beviset att är irrationell med hjälp av fermats stora sats!
Anta att där
Då är
, men detta strider mot fermats stora sats och är alltså omöjligt.
Använder en sådan här sats för att bevisa något som är såå mycket enklare!!
naytte skrev:Haha jag körde på en annan variant av det i alla mina argumenterande texter och tal på gymnasiet... "för den påläste råder det inget tvivel om att [insert vad du vill slippa förklara här]". Det var jättebra för om motståndaren inte höll med betydde det bara att han inte var påläst :D
Usch, riktiga härskartekniker på ditt gymnasium 😂.

Apropå en av trådarna som var aktiv för någon dag sedan 😅
Som någon som levt genom en pandemi: Att vara positiv är inte bra.
Haha, ja så kan man också se det. Att vara positiv är inte alltid positivt.
Det är därför man skriver i LaTeX...
Full kontroll över hela dokumentet i utbyte mot att det är lite jobbigare är helt värt.
naytte skrev:Det är därför man skriver i LaTeX...
Full kontroll över hela dokumentet i utbyte mot att det är lite jobbigare är helt värt.
När man glömmer skriva [H] efter \begin{figure}:

naytte skrev:Det är därför man skriver i LaTeX...
Full kontroll över hela dokumentet i utbyte mot att det är lite jobbigare är helt värt.
”Full kontroll” skulle jag inte kalla att jag har när jag försöker få två bilder i rimlig size bredvid varandra. Kan hända precis vad som helst. Men den ligger nog snarare på mig än programmet..😀
Men den ligger nog snarare på mig än programmet..😀
Ja, det krävs lite trixande ibland för att lista ut hur man ska göra. Men man har verkligen full kontroll egentligen. Finns otaliga libs till LaTeX för att göra allt möjligt. En favorit är att låta ChatGPT författa LaTeX-koden åt en när man inte vet hur man ska göra :D
GPT presterar så ojämnt för mig. Ibland blir det perfekt och ibland hamnar figurerna i ett parallellt universum.🎉
Den bästa är dock:
"Proof by magic"
Average jänkare moment
fner skrev:
JAPP. Väldigt frustrerande!

Dubbelbottnad lärdom
Teraeagle skrev:
29999999 är ett primtal
29999999 är ett primtal
@AlexMu det blir 6 månaders avstängning på det
naytte skrev:29999999 är ett primtal
@AlexMu det blir 6 månaders avstängning på det
Oj då! 😭
Får mig att tänka på talet 57, som verkligen känns om att det borde vara ett primtal – så till den milda grad att Hermann Wey påstod det i en publicerad artikel, och Alexander Grothendieck (enligt legenden) påstod det under ett föredrag!
Smutstvätt skrev:
Masterpiece
Teraeagle skrev:
Hmm med lite välvilja kan positionen väl va remi? Get rekked peasants
Teraeagle skrev:
Ungefär sådär var det när jag skulle lära min då cirka 5-åriga dotter att spela schack.
Jag berättade att pjäser kan "slå ut" varandra och att man ska skydda kungen.
"OK, jag förstår" sa hon, ställde upp kungen i mitten och resten av sina pjäser i en klunga runt om.
Jag borde ha anat oråd där och då, men jag tänkte att vi får väl pröva, så vi satte igång.
Varje gång det var hennes tur tog hon en godtycklig egen pjäs, knockade bort en av mina och ställde sedan tillbaka sin pjäs i klungan.
Jag började inse att detta var ett schackparti jag inte skulle vinna ...
AlexMu skrev:Teraeagle skrev:
Påminner mig om det skojiga beviset att är irrationell med hjälp av fermats stora sats!
Anta att där
Då är
, men detta strider mot fermats stora sats och är alltså omöjligt.Använder en sådan här sats för att bevisa något som är såå mycket enklare!!
En rolig grej är att beviset faktiskt inte stämmer. Wiles bevis av Fermats stora sats förutsätter faktiskt att rötter ur 2 är irrationella.
naytte skrev:Average jänkare moment
Och det sjuka är att hälften av jänkarna är dummare än medianen!
Smutsmunnen skrev:naytte skrev:Average jänkare moment
Och det sjuka är att hälften av jänkarna är dummare än medianen!
Njae, något färre än hälften. Några är precis lika smarta som medianen.
Smutsmunnen skrev:AlexMu skrev:Teraeagle skrev:
Påminner mig om det skojiga beviset att är irrationell med hjälp av fermats stora sats!
Anta att där
Då är
, men detta strider mot fermats stora sats och är alltså omöjligt.Använder en sådan här sats för att bevisa något som är såå mycket enklare!!
En rolig grej är att beviset faktiskt inte stämmer. Wiles bevis av Fermats stora sats förutsätter faktiskt att rötter ur 2 är irrationella.
Aha! Det gör det ännu roligare!
Nice, gött att veta att helvetet man genomgått lönar sig i efterlivet!
Average konversation med en moralisk absolutist:

Average kemienjoyer. Låt mig komma med en egen kemimeme:
Såg denna fantastiska video för några månader sedan, känns passande här. Sång om bolzano weierstrass!
https://www.youtube.com/watch?v=dfO18klwKHg
@JohanF:
Smutstvätt skrev:@JohanF:
👍
Denna meme fick mig att skratta orimligt mycket:

naytte skrev:Denna meme fick mig att skratta orimligt mycket:

Den seriestrippen av xkcd är verkligen en meme som ger och ger. Originalet är fantastiskt:
Och när det för ett tag sedan blev en memetrend att lägga till delar, skapades denna fantastiska vidareutveckling:

(Ja, det finns vissa som har byggt på med el- och vattenförsörjning, men någonstans är vi alla beroende av el och vatten, så det känns inte lika relevant för bilden)
Haha, klassiker! Låt mig lägga till denna:

Fantastisk inledning dock 😂
Ja, den är briljant! :D
Typ på riktigt så jag känner inför komplex analys. Det kanske beror på att jag har blivit för engineerpilled men jag klarar inte av att engagera mig i den kursen eftersom jag inte "ser syftet".
"Hello, I would like apples please"
Det finns även en motsatt variant (för studenter som är för mathpilled för ingenjörsmetoder):

På tal om ovanstående memes om matematik:



























































