Statistik, medelvärde och standardavvikelse
Hej! Jag skulle vilja få hjälp med en uppgift som jag körde fast på
Frågan lyder så här
Iris och Ahmed har ett UF-företag som säljer tröjor. För att ta reda på var de har sin största målgrupp väljer de att göra en stickprovsundersökning bland sina kunder. De frågar 10 personer som handlar av dem hur gamla de Resultatet visas här nedan.
I5-åringar: 2
16-åringar: 5
I8-åringar: 1
2O-åringar: 1
21-åringar: 1
a) Bestäm medelvärde och standardavvikelse.
b) Om vi antar att åldrarna hos kunderna är normalfördelade - hur stor andel av deras kunder bör i så fall vara över 15 är?
Var kör du fast? Har du räknat ut medelvärdet? Vet du hur man räknar ut ett medelvärde?
Medelvärdet har jag räknat ut, men inte standardavvikelse
Frågan b) och att räkna ut standardavvikelse kör jag fast vid
Vad var medelvärdet?
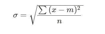
Det finns en formel för standardavvikelsen som ser ut så här:

Sigmatecknet står för summa. x är de olika värdena från undersökningen, m är medelvärdet och n är antalet mätvärden(hur många som deltog.
Har du använt den formeln innan och vet hur man använder den?
Medelvärdet blev 17 och den formlen har jag inte sett innan alls
Medelvärdet ör 16,9. Du kan inte avrunda.
Okej. Har du räknat ut standardavvikelse tidigare på något annat sätt?
På denna sidan kan du läsa mer om det: https://www.matteboken.se/lektioner/matte-2/statistik/standardavvikelse
Stnardardavvikelsen använder man för att räkna ut hur långt värdena ligger från medelvärdet
Det i formeln som är enklast att börja med är
Då ska du alltså ta varje värde x(det finns 10 stycken) och räkna ut hur långt det ligger från medelvärdet, alltså x-m och sedan kvadrera/upphöja det talet med 2.
Ex. Det första talet 15 ligger 1,9 ifrån medelvärdet. 15-16,9= -1,9
När jag kvadrerar .1,9 så får jag
Nu har jag gjort på det första värdet.
Okej, jag ska försöka räkna ut standardavvikelse. Tack så mycket
Ja det är inte lätt om man inte gjort det mycket tidigare och ingenting som man lär sig på en kväll, tror jag.
@jonto vad innebär det brutna E där?
betyder summa.