Svårare problem Integral av sammansatt funktion
Hej, jag undrar hur man kan lösa denna
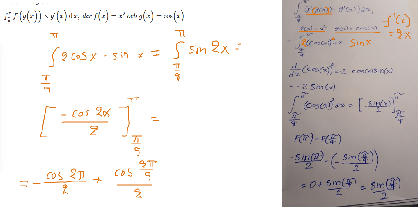
Bestäm integralen av
Borde jag använda likanande metod som i den här tråden ?
https://www.pluggakuten.se/trad/integral-av-sammansatt-funktion/
Tips: Integranden är derivatan av f(g(x)).
Så här tänkte jag kring uppgiften.

Oj, på rad två ska det stå en tvåa.
Förstod du tipset?
Nej,inte direkt. Behöver mer förtydligande
Tänk kedjeregeln "baklänges".
Sätt A(x) = f(g(x)).
Hur ser då dA/dx ut (enligt kedjeregeln)?
=====
Se även tipsen du fick tidigare, t.ex. I denna tråd.
Det för mig väl tillbaka till vad som var i integranden.
Tillägg: 26 feb 2026 17:24
Dvs
Jag undrar är
f’(g(x))g’(x) = d(f(g(x))/dx. Kedjeregeln.
Arup skrev:Det för mig väl tillbaka till vad som var i integranden.
Tillägg: 26 feb 2026 17:24
Dvs
Ja, precis.
Och eftersom
så gäller alltså att
Visst ska det stå,
?
Yngve skrev:Arup skrev:Det för mig väl tillbaka till vad som var i integranden.
Tillägg: 26 feb 2026 17:24
Dvs
Ja, precis.
Och eftersom
så gäller alltså att
Så var det rätt det jag skrev i # 10 ?
Jag har gjort ett nytt försök

Det ser bra ut. Ett par detaljer.

Vad blir det när du räknar ut det?
(Dina fyror ser jättemysko ut, men alla kanske inte håller med om det.)
Nej,det är en 9:a
Jag borde ha tittat på den ursprungliga frågan.
Jag och Sten kom fram till följande :
